Раскладки клавиатуры
Проблемы раскладки QWERTY
Раскладка, которая по умолчанию установлена на большинстве компьютеров, называется QWERTY. Она получила своё название по первым шести буквам, расположенным в левом верхнем углу клавиатуры:

QWERTY до сих пор используется, потому что он стал стандартом ещё во времена пишущих машинок.
При этом QWERTY — крайне неудачная раскладка по многим причинам:
- Самые часто используемые буквы (показаны оранжевым) хаотично разбросаны по клавиатуре.
- Тысячи английских слов набираются одной рукой, в то время как другая почти не участвует в наборе (например: afterwards, average, garbage, million, monopoly, opinion…).
- Во многих словах один и тот же палец нажимает сразу много букв (например: December, science, decided, community, minimum, anonymous…).
- Аналогично, есть множество слов, которые в основном набираются попеременно всего двумя пальцами (например: return, thought, monthly, bought, amendment, Sydney, burn…).
- Встречаются случаи, когда одному пальцу приходится подряд нажимать две далеко расположенные клавиши, заставляя его делать большой скачок (диграфы вроде EC, BR, UN, NY, UM, MY…).
- Есть неудобные комбинации, где один палец движется вниз, а соседний — вверх (например, диграф CR, где указательный палец нажимает R, а средний — C).
- Наконец, существуют сочетания букв, требующие бокового движения кисти (например, EG или EB).
Программы для установки новой раскладки
- MSKLC: стандартный инструмент для Windows
- XKB: стандартная система раскладок для Linux
- Ukelele: стандартный инструмент для macOS
- KMonad: работает на всех трёх ОС
- Kanata: работает на всех трёх ОС; переписанная версия KMonad с большим количеством возможностей
- Keyd: альтернатива Kanata для Linux
- Karabiner-Elements: самый функциональный инструмент для macOS
- Capsicain: вариант для Windows, использующий драйвер Interception
- AutoHotkey: программное обеспечение для создания макросов и автоматизации в Windows; в отличие от предыдущих, не предназначено специально для работы с раскладками, но может использоваться для этой цели
Первые три варианта требуют запустить программу только один раз — для установки раскладки. После этого раскладка будет загружаться всегда. Для остальных вариантов программу нужно запускать при каждом старте компьютера. В любом случае это обычно можно настроить так, чтобы запуск происходил автоматически.
Основы печати
1.1. Слепая печать
Слепая печать — это развитие необходимой мышечной памяти, которая позволяет печатать не глядя на клавиатуру и не задумываясь о каждом нажатии.
Правильная техника слепой печати предполагает использование восьми пальцев: мизинца, безымянного, среднего и указательного на каждой руке. На изображении ниже каждому пальцу соответствует свой цвет, которым выделены клавиши, закреплённые за ним. Цветовая схема:
- зелёный — мизинец,
- светло-голубой — безымянный,
- розовый — средний,
- оранжевый — левый указательный,
- жёлтый — правый указательный.
Клавишу пробела нажимает любой большой палец.

Модель, описанную выше, мы будем называть стандартной аппликатурой. Многие люди не придерживаются этой модели, поскольку научились печатать самостоятельно, без использования тренажёров для слепой печати. Однако если мы хотим освоить альтернативную клавиатурную раскладку, нам также придётся выучить правильную технику набора, так как все раскладки проектируются именно с её учётом. В противном случае мы не получим преимуществ, которые даёт раскладка.
Если в данный момент вы не используете все пальцы при наборе текста, то, пожалуй, лучшей причиной для изучения новой раскладки будет возможность одновременно освоить правильную слепую печать.
1.2. Базовый (домашний) ряд
Обычный подход к обучению слепой печати состоит в том, чтобы разбить его на этапы. Первый этап включает в себя привыкание к печати букв на базовом ряду, не глядя на клавиатуру. Базовый (или домашний) ряд — это восемь клавиш, которые служат исходным положением для ваших пальцев:

На изображении выше показан базовый ряд на стандартной клавиатуре QWERTY. Мы должны уметь расположить руки в этой позиции, не глядя на клавиатуру, нащупав указательными пальцами два небольших выступа на клавишах F и J.
Изучение базового ряда прежде всего будет очень полезно, так как затем мы сможем развить мышечную память для остальной части клавиатуры относительно этого ряда.
Обратите внимание: когда мы говорим, что наши пальцы будут располагаться над клавишами ASDF JKL; (ФЫВА ОЛДЖ), мы просто описываем их физическое расположение на клавиатуре. Наша цель — изучить раскладку клавиатуры, отличную от QWERTY. Любая современная раскладка заменит ASDF JKL; (ФЫВА ОЛДЖ) на более часто используемые буквы.
1.3. Верхний и нижний ряд
После изучения домашнего ряда следующим шагом будет отработка мышечной памяти для ряда клавиш, расположенного непосредственно над ним, известного как верхний ряд. В последнюю очередь мы сделаем то же самое с рядом клавиш непосредственно под домашним рядом, который называется нижним рядом.
1.4. Как изучить новую раскладку
Полезным инструментом для этого является фильтр слов. На сайте MonkeyType уже есть встроенный фильтр слов. Чтобы использовать его, в правом верхнем углу нажмите custom → change → Words filter.
По умолчанию MonkeyType использует только 200 самых распространённых английских слов для создания своих тестов. Прежде всего, мы должны нажать на language и выбрать расширенный набор слов. English 1k включает 1000 самых частых слов в английском, 5k — первые 5000 и т.д.
В меню фильтра слов мы увидим следующие два поля:

Добавляя набор букв (разделённых пробелом) в include и помещая все остальные буквы в exclude, мы можем сгенерировать тест на набор текста, использующий только нужные нам буквы. Это, в свою очередь, можно использовать для изучения раскладки поэтапно. Например, возьмём раскладку MTGAP:

Допустим, мы хотим потренировать домашний ряд. Во-первых, мы выбираем набор слов, например, English 1k. Во-вторых, мы добавляем все буквы домашнего ряда MTGAP в поле include, а все оставшиеся буквы помещаем в exclude. Наконец, нажимаем set, что приводит к следующему списку слов:

Всё, что остаётся сделать, это нажать random (чтобы рандомизировать порядок, в котором указанные выше слова будут появляться в тесте на набор текста) и выбрать продолжительность теста (либо количество слов, либо количество секунд). Теперь мы можем практиковать домашний ряд MTGAP, набирая реальные слова.
Как только мы освоим домашний ряд, мы возвращаемся на экран фильтра слов и постепенно перемещаем больше букв из exclude в include, пока не выучим их все. Сколько шагов займёт этот процесс, полностью зависит от вас.
1.5. Тесты на слова
Если мы уже выучили все буквы в нашей раскладке, то фильтр слов больше не нужен. Теперь мы можем начать использовать настройки времени или количества слов на MonkeyType.
Мы можем выбрать, как долго будет длиться тест (либо время в секундах, либо количество слов). По умолчанию это 50 секунд или 60 слов. В любом случае, мы можем это изменить.
Помните о необходимости практиковаться на большем наборе слов, чем стандартный вариант "English", поскольку он включает только 200 самых распространённых английских слов и должен использоваться только для скоростной печати.
1.6. Знаки препинания и большие буквы
Нажав на опцию punctuation (знаки препинания), мы добавляем к тесту основные знаки препинания: запятую ,, точку ., апостроф ', двоеточие :, точку с запятой ;, дефис -, косую черту /, вопросительный знак ?, восклицательный знак !, кавычки " и круглые скобки ().
Включение пунктуации также заставляет нас практиковать использование клавиши Shift для ввода заглавных букв. Правильная техника заключается в использовании клавиши Shift на руке, противоположной букве, которую мы хотим сделать заглавной. Другими словами, если мы хотим сделать заглавной букву на левой руке, мы должны использовать правый Shift (и наоборот).
Проблема с использованием Shift на той же стороне, что и буква, которую мы хотим сделать заглавной, заключается в том, что наши пальцы будут разъезжаться (например, попробуйте удерживать правый Shift плюс букву Y на QWERTY). Хотя научиться правильно использовать Shift непросто, в долгосрочной перспективе это окупится.
1.7. Меняем местами Caps lock и Backspace (on Windows)
Несмотря на то, что клавиша Backspace является широко используемой, она расположена очень далеко от положения мизинца правой руки, из-за чего нам приходится делать довольно большой прыжок, чтобы до неё дотянуться. Некоторые решают эту проблему, перемещая клавишу Backspace туда, где раньше находилась клавиша Caps Lock, что делает нажатие Backspace более удобным.

Если вы хотите попробовать приведённое выше исправление, скачайте и распакуйте следующий файл. После этого вы можете запустить выбранный вами .reg файл и перезагрузить компьютер, чтобы изменения вступили в силу:
- Caps2BS.reg – Переназначить Capslock на Backspace
- SwapCapsBS.reg – Поменять местами Capslock и Backspace
- Caps2Ctrl.reg – Переназначить Capslock на CTRL
- SwapCapsCtrl.reg – Поменять местами Capslock и CTRL
- Unbind.reg – Отменить все переназначения
Первый .reg файл просто заставляет клавишу Capslock работать как второй Backspace. Другими словами, старый Backspace по-прежнему будет работать, а клавиши Caps lock у нас больше не будет.
Со вторым .reg файлом Caps lock и Backspace меняются местами. Таким образом, этот вариант сохраняет клавишу Caps lock, а также заставляет нас привыкнуть к использованию нового расположения Backspace.
Авторство создания приведённого выше файла принадлежит Ze_or.
Angle mod
2.1. Улучшенная техника печати
На стандартных клавиатурах каждый ряд немного смещён в сторону относительно другого. Это называется ступенчатым расположением рядов (row stagger). При использовании стандартной техники пальцев это ступенчатое расположение хорошо совпадает с нашими пальцами только на правой руке. Чтобы визуализировать это, мы проведём линии над клавиатурой, представляющие естественное движение пальцев вверх/вниз. Мы предполагаем, что наши руки подходят к клавиатуре под углом (примерно 70°):

Так, например, средний палец назначен на розовые клавиши. На правой руке линия, представляющая движение среднего пальца вверх/вниз, правильно выровнена с этими клавишами. Однако на левой руке это не так, особенно смещён нижний ряд. Существует модифицированная техника пальцев, направленная на исправление этого, известная как Angle mod (модификация под углом). Она заключается в изменении назначения пальцев для левого нижнего ряда, как показано ниже:

Хотя модификация Angle делает ступенчатость нижнего ряда одинаковой для обеих рук, ступенчатость верхнего ряда по-прежнему будет лучше совпадать с пальцами на правой руке, чем на левой. В любом случае, вот клавиши, которые меняют назначение пальцев:
| Со стандартной техникой пальцев: | С техникой Angle mod: |
|---|---|
| QWERTY Z → Мизинец | QWERTY Z → Безымянный |
| QWERTY X → Безымянный | QWERTY X → Средний |
| QWERTY C → Средний | QWERTY C → Указательный |
2.2. Стандарты ANSI и ISO
Физическая раскладка клавиатуры немного варьируется в зависимости от страны. На изображениях ниже различия показаны синим цветом:
ANSI (Американский стандарт):

ISO (Международный стандарт):

В стандарте ISO левый SHIFT разделён на две клавиши, а в ANSI — нет. Это влияет на то, как модификация Angle реализуется в каждом из них. Ключевое отличие заключается в том, что при технике Angle mod для ISO левый мизинец сохраняет три клавиши, как и при стандартной технике. Однако при ANSI Angle mod левый мизинец теряет одну клавишу (теперь всего две), в то время как левый указательный палец получает одну дополнительную (теперь всего семь). Это станет понятнее после рассмотрения практических примеров Angle mod.
Наконец, обратите внимание, что в дальнейшем в этом документе, когда будет использоваться модификация Angle, это будет версия для ANSI, так как она работает на любой клавиатуре. Версия Angle mod для ISO является эксклюзивной для клавиатур стандарта ISO.
2.3. Модификация раскладки под технику Angle (Angle modding)
Изменение раскладки, спроектированной для стандартной техники пальцев, на ту, которая использует технику Angle mod, называется модификацией раскладки под угол (angle modding the layout). Как уже упоминалось, этот процесс немного отличается в зависимости от того, используем ли мы клавиатуру ANSI или ISO.
2.3.1. Пример angle mod для ANSI
Начнём с раскладки Colemak DH для стандартной техники пальцев:

Модификация раскладки под технику Angle на клавиатурах ANSI требует двух шагов:
- Буквы внутри жёлтого прямоугольника (т.е. клавиши нижнего ряда для левого безымянного, среднего и указательного пальцев) сдвигаются на одну позицию влево.
- Поскольку буква внутри оранжевого прямоугольника (т.е. клавиша нижнего ряда для левого мизинца) теряет своё старое место, она перемещается на новую освободившуюся позицию на левом указательном пальце.
В результате получается Colemak DH, модифицированная под угол:

При модификации раскладки под угол исходные колонки должны оставаться неизменными. Под «колонкой» мы подразумеваем буквы, которые должен нажимать каждый палец. Обратите внимание, как в исходной и модифицированной версиях левый безымянный палец имеет колонку WRX, левый средний — колонку FSC, а левый указательный — колонку PDT.
Наконец, чтобы раскладка легко «модифицировалась под угол» на клавиатурах ANSI, символ внутри оранжевого прямоугольника (Z в нашем примере) должен быть редко используемой буквой. Причина в том, что эта буква фактически меняет палец (она перемещается с левого мизинца на левый указательный), что создаст комбинации букв, которые исходная раскладка не учитывала. Однако это не будет проблемой, если буква действительно редкая.
2.3.2. Пример angle mod для ISO
Начинаем с раскладки Colemak DH для стандартной техники пальцев:

Чтобы модифицировать Colemak DH под технику Angle на клавиатуре ISO, нам просто нужно сдвинуть весь левый нижний ряд на одну позицию влево:

В стандарте ISO, благодаря дополнительной клавише для мизинца, нам не нужно перемещать букву с нижнего ряда для левого мизинца (Z в нашем случае) на указательный палец. Это было необходимо только в клавиатурах ANSI. Тем не менее, технически возможно использовать технику ANSI Angle mod на клавиатуре ISO, если мы этого хотим.
2.4. Обратная модификация раскладки (Un-angle modding)
Изучая альтернативные раскладки клавиатур, мы найдём множество раскладок, уже модифицированных под угол (angle modded). Это потому, что большинство раскладок проектировались с учётом ступенчатого расположения рядов, а модификация Angle является рекомендуемой техникой пальцев на таких клавиатурах.
Если мы хотим изучить раскладку, которая уже модифицирована под угол, но планируем использовать её на матричной клавиатуре, то нам придётся выполнить обратную модификацию (un-angle mod). В конце концов, модификация Angle имеет смысл только при ступенчатом расположении рядов. Например, возьмём модифицированную раскладку Noctum:

Если бы мы изучали эту раскладку на матричной клавиатуре, мы бы сначала выполнили обратную модификацию, следующим образом:

2.5. Ошибки, которых следует избегать при работе с модификацией Angle
2.5.1. Изучение стандартной раскладки с техникой Angle mod (angle cheat)
Возьмём раскладку APT со стандартной техникой пальцев:

Представьте, что кто-то выучил раскладку выше, используя технику пальцев Angle mod, но без предварительной фактической модификации раскладки под угол. Такое действие называется «angle cheat» («угловой читинг»):

Здесь мы делаем раскладку заметно хуже, поскольку биграммы, которые раньше набирались двумя пальцами (например, CT, MP, MB…), теперь набираются одним и тем же пальцем во второй версии.
Чтобы сохранить исходные колонки раскладки, нам нужно действительно модифицировать её под угол:

В любом случае, и первая, и третья версии раскладки правильны, они просто различаются используемой техникой пальцев. Однако вторая версия имеет неверные колонки.
2.5.2. Изучение модифицированной под угол раскладки со стандартным расположением пальцев
Возьмём раскладку Rolly, которая была разработана с учётом техники Angle mod:

Представьте, что кто-то выучил раскладку выше, используя стандартную технику пальцев, но без предварительной обратной модификации раскладки (un-angle modding):

Здесь мы фактически испортили раскладку, так как H и E теперь используют один палец. Как следствие, HE становится очень частой биграммой с одним пальцем (SFB — биграмма, где один палец нажимает две клавиши подряд). Хотя исходная модифицированная версия имела только 0,752% SFB по данным анализатора Colemak mods, вторая версия достигает целых 4,286%!
Допустим, мы всё же выполнили обратную модификацию раскладки перед применением стандартной техники пальцев:

Таким образом, мы не создаём непредусмотренных SFB, так как уважаем исходные колонки. Несмотря на это, на клавиатуре со ступенчатым расположением рядов эта третья версия всё равно будет ухудшением по сравнению с первой. Это связано с тем, что H и P теперь находятся гораздо дальше от E и U, делая биграммы вроде HE, HU, PE и PU менее удобными, чем раньше.
В любом случае, лучшей версией была бы самая первая.
2.6. Как определить, модифицирована ли раскладка под угол
Далее в этом документе мы перечислим и сравним множество различных раскладок. Раскладки часто будут представлены в виде простого текста. В зависимости от того, как этот текст отформатирован, будет указываться та или иная техника пальцев:
Standard fingering:

При стандартной технике пальцев колонки будут строго вертикальными. Например на левой руке в раскладке Gallium мезинец лежит BNQ, безымянный палец LRX, средний палец DTM и указательный палец CSWVGJ
Angle mod fingering:

При технике Angle mod нижний ряд будет сдвинут на одну единицу вправо. Так, на левой руке в раскладке Isrt имеет мизинец YI, безымянный палец CSV, средний палец LRW и указательный палец MTDKGJQ. Помните, что при ANSI Angle mod левый мизинец имеет только две клавиши, в то время как левый указательный палец теперь имеет семь.
Иногда мы будем использовать изображения (а не текст) для демонстрации раскладки. В таких случаях мы будем указывать, модифицирована ли раскладка под угол, чтобы избежать путаницы. Тем не менее, по мере того как вы будете лучше знакомиться с раскладками, вы сможете легко определить, модифицирована ли раскладка под угол, просто взглянув на её колонки. Например:

Раскладка выше очевидно уже использует angle mod. Это можно понять по тому, что иначе её колонки не имели бы смысла. Если предположить наличие angle mod, мы получаем мизинец лежит на BN, безымянный палец FSV, средний палец DTM и указательный палец LRHZKXQ. Это довольно разумно сразу по нескольким параметрам. В частности, они дают пренебрежимо малое количество биграмм на одном пальце (SFB). Кроме того, более слабые пальцы имеют низкую нагрузку (мизинец BN и безымянный FSV), тогда как более сильные пальцы работают интенсивнее.
Если же предположить, что приведённая выше раскладка не использует angle mod, мы получили бы бессмысленные колонки (мизинец BNV, безымянный FSM, средний DTH и указательный LRXZKQ).
3. Английский алфавит
Чтобы понять, откуда берутся статистические показатели раскладки, сначала нужно ознакомиться с частотами букв, биграмм и триграмм того языка, для которого предназначена раскладка. Большинство раскладок разрабатывались для английского языка, поэтому именно его мы и будем рассматривать.
Примечание: таблицы биграмм и триграмм в следующих разделах были созданы с использованием английских данных Норвига, которые можно найти здесь и здесь.
3.1. Частота использования английских букв

Как и можно ожидать, гласные EAOI встречаются очень часто, а самыми распространёнными согласными являются TNSR. Эти восемь букв можно считать наиболее важными. Далее следует буква H, затем LDC, а после них — гласная U.
Обратите внимание, что результаты в некоторой степени будут отличаться при использовании другого корпуса текстов. Например, на популярных сайтах для набора текста, таких как TypeRacer или MonkeyType, буква H используется примерно так же часто, как R, а W и Y находятся на одном уровне с C.
3.2. Топ 50 биграмм
Последовательности из двух букв называются биграммами. Ниже приведены топ-50 (при этом первые 25 выделены):

Мы видим, что большинство биграмм состоит из сочетания согласной и гласной. Тем не менее, существует ряд очень распространённых биграмм, состоящих только из согласных (например, TH, ND, ST, NT, NG, CH, LL и т. д.). Наконец, наиболее значимыми биграммами, состоящими только из гласных, являются OU, IO и EA.
3.3. Топ 50 триграмм
Последовательности из трёх букв называются «триграммами». Ниже приведены топ-50 (при этом первые 25 выделены):

Большинство триграмм включает как согласные, так и гласные. На самом деле триграммы, состоящие только из гласных, встречаются крайне редко. Хотя их нет в таблице, некоторые триграммы, состоящие только из согласных, всё же достаточно распространены (например, GHT, LLY, STR, NGS и т. д.).
Если вам интересно, почему триграмма YOU не появляется в таблице, то, вероятно, причина в том, что именно эта статистика включает большое количество книжных текстов. В более неформальной среде YOU встречалось бы гораздо чаще.
3.4. Расширенные таблицы биграмм
На следующих страницах мы рассмотрим данные по биграммам более подробно. Чтобы информация была проще для восприятия, биграммы будут разделены на разные таблицы:
- Биграммы гласная + гласная
- Биграммы согласная + согласная
- Биграммы согласная + гласная
- Двойные буквы
В каждой таблице биграммы будут отсортированы от наиболее к наименее частотным. Число рядом с каждой биграммой будет указывать её частоту в процентах (например, OU составляет 0,870% всех биграмм).
В конце этой главы также будут представлены дополнительные данные:
- Триграммы, состоящие только из согласных
- Триграммы, состоящие только из согласных (без Y)
- Топ слов с апострофом
- Топ триграмм с апострофом
Данные для таблиц будут взяты из модели норвига, если не указано иное.
3.5. Биграммы гласная + гласная

Биграммы, состоящие из гласных, составляют 4,4% всех биграмм.
3.6. Биграммы согласная + согласная

Биграммы, состоящие из согласных, составляют 21,406% всех биграмм.
3.7. Биграммы согласная + гласная
Биграммы с частотой ниже 0,175% опущены. Как и ожидалось, у менее распространённых согласных меньше биграмм, попадающих в этот список. На самом деле у Q, J и Z их нет. Топ-50 выделены:




Биграммы согласная + гласная составляют 71,686% всех биграмм.
3.8. Двойные буквы

Двойные буквы составляют 2,508% всех биграмм.
3.9. Триграммы, состоящие только из согласных

3.10. Триграммы, состоящие только из согласных (без Y)

Две приведённые выше таблицы были составлены с использованием TypeRacer.
3.11. Топ слов с апострофом

3.12. Топ триграмм с апострофом

Две приведённые выше таблицы были составлены с использованием TypeRacer
4. SFBs, SFSs и расстояния
4.1. Биграммы на одном пальце - Same finger bigrams (SFBs)
Биграмма на одном пальце (SFB) состоит в том, что две клавиши нажимаются подряд одним и тем же пальцем. Например, возьмём слово decade на Qwerty. Зелёная линия показывает буквы, нажимаемые средним пальцем левой руки:

Итак, это слово содержит три SFB: DE, EC и снова DE. Это крайний пример, так как пять из шести букв набираются одним пальцем!
SFB зависят от того, какие буквы находятся в одной колонке. Например, колонка EDC на Qwerty очень неудобна, так как приводит к большому числу SFB.
Для справки: у Qwerty примерно 6% SFB, у Dvorak — 2,5%, а у Colemak — 1,5%. В современных раскладках этот показатель может достигать 0,5%. Следует отметить, что эти цифры могут сильно варьироваться в зависимости от используемого анализатора и корпуса. Например, у Qwerty другой анализатор может показать 4,5% SFB. Главное — сравнивать раскладки между собой. В этом смысле у Qwerty всегда будет высокий уровень SFB, независимо от анализатора.
Когда мы говорим, что раскладка имеет определённый процент SFB, мы предполагаем, что она используется при правильном слепом методе набора. Продвинутые пользователи Qwerty часто используют персонализированные схемы набора (например, нажимают букву C указательным пальцем вместо среднего), чтобы избежать SFB вроде CE. Это называется «альтернативная расстановка пальцев» и будет рассмотрено позже.
Помимо общего процента SFB, стоит также обращать внимание на распределение SFB по пальцам. В целом, мы предпочитаем, чтобы SFB приходились на указательный и средний пальцы, и избегали слабых пальцев, таких как мизинцы.
Ещё один момент: снижение SFB ниже определённого уровня приносит убывающую отдачу. Например, раскладки с низким SFB также имеют меньший процент использования основной строки, меньше задействуют указательные пальцы и чаще требуют движения мизинцев. Поэтому при оптимизации SFB не стоит игнорировать другие статистики.
4.2. Вычисление расстояния между двумя клавишами
Допустим, мы хотим узнать расстояние между клавишами R и G на Qwerty (мы используем Qwerty просто как способ указать разные клавиши на клавиатуре):

Мы можем вычислить длину красной линии, используя теорему Пифагора. Нам нужно знать только вертикальное расстояние между клавишами (зелёная линия) и горизонтальное расстояние (синяя линия).
На клавиатуре с горизонтальным смещением рядов верхний ряд сдвинут на 0,25 единицы относительно основного ряда, а нижний ряд — на 0,5 единицы. Это делает горизонтальное расстояние между верхним и нижним рядом равным 0,75 единицы. Что касается вертикального расстояния, верхний и нижний ряды находятся на 1 единицу от основного ряда.
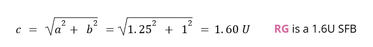
В нашем примере Qwerty RG вертикальное расстояние равно 1U, а горизонтальное — 1,25U (1U от G до F и 0,25U от F до R). Зная это, мы можем использовать теорему Пифагора, чтобы определить расстояние между двумя клавишами. Для этого нужно возвести в квадрат горизонтальное и вертикальное расстояния, затем извлечь квадратный корень из суммы:

Ещё один пример: Qwerty MY. Вертикальное расстояние равно 2U, а горизонтальное — 1,75U (1U от M до N, 0,5U от N до H и 0,25U от H до Y). Таким образом:

Ещё один пример: Qwerty VT. Вертикальное расстояние равно 2U, а горизонтальное — 0,25U (от V до G это 0,5U, но затем вычитаем 0,25U при переходе от G к T). Таким образом:

4.3. SFB с расстоянием в 1U и 2U
Используя метод, объяснённый выше, мы теперь перечислим расстояния для различных SFB. В этом разделе рассматриваются SFB с расстоянием 1U или 2U. В следующем разделе мы проверим остальные.
Если две клавиши, образующие SFB, находятся рядом друг с другом, расстояние будет примерно 1U. На изображении ниже Qwerty FG равно ровно 1U, FR — 1,03U, а FV — 1,12U:

Если одна клавиша находится в нижнем ряду, а другая — в верхнем ряду, то SFB будет примерно 2U. В этом случае палец должен «перепрыгнуть» через основной ряд, чтобы перейти от одной клавиши к другой. Ниже Qwerty VT и NU — 2,02U, а VR и NY — 2,14U:

Естественно, SFB в раскладке должны в основном иметь расстояние 1U. Другими словами, SFB с расстоянием 2U должны встречаться только в редких биграммах. По этому показателю раскладка Qwerty явно проигрывает.
4.4. Диагонали
Традиционные клавиатуры несимметричны. Например, расстояние от позиции отдыха указательного пальца левой руки (F) до нижней диагонали (B) больше, чем до верхней диагонали (T). Ниже Qwerty FT — 1,25U, а FB — 1,8U:

На правой стороне ситуация обратная. Теперь дальше находится верхняя диагональ. Ниже Qwerty JY — 1,6U, Qwerty JN — 1,12U:

Итак, от лучшего к худшему (т.е. от ближнего к дальнему): Qwerty N → T → Y → B.
Абсолютно самые длинные диагонали — Qwerty RB и MY, длина которых составляет 2,66U! Также есть MH — 1,8U и RG — 1,6U:

Наконец, при использовании угловой модификации расположения пальцев (например, Qwerty C нажимается указательным пальцем, а не средним) добавляются ещё две диагонали: Qwerty CT — 2,36U и CG — 1,8U:

В любом случае, чем больше расстояние, тем выше приоритет не допускать такую диагональ как SFB в раскладке.
4.5. Пропущенные биграммы на одном пальце - Same finger Skipgrams (SFSs)
SFS (Skipgram на одном пальце) — это ситуация, когда две клавиши нажимаются одним и тем же пальцем, но между ними находится X букв. Например, при наборе слова may на Qwerty (M и Y нажимаются правым указательным пальцем).
У SFS есть два аспекта: расстояние и количество промежуточных клавиш. Например, упомянутый SFS M_Y имеет длину 2,66U и является skip-1-gram (т.е. между M и Y всего одна клавиша, A, нажимаемая другим пальцем).
SFS M_Y одновременно худший по обоим показателям. Во-первых, наш правый указательный палец должен совершить большой прыжок от M к Y. Во-вторых, это почти последовательное движение, так как между ними всего одна клавиша A. Предпочтительнее, чтобы между повторным использованием пальца было больше клавиш, так палец успевает вернуться в исходное положение (J в данном случае). Идеальное слово — такое, где каждый палец используется только один раз.
К сожалению, в Qwerty много слов, набираемых всего двумя пальцами. Например, слово burn набирается чередованием двух указательных пальцев. На изображении ниже оранжевым показаны буквы, нажимаемые левым указательным, жёлтым — правым указательным:

Итак, это слово содержит два SFS. Более того, SFS B_R на левом указательном пальце равен 2,66U, а U_N на правом указательном — 2,02U. Попробуйте набрать это слово.
Ещё один пример — слово thought на Qwerty. Цвета и соответствие пальцев такие же, как и выше:

Здесь T_G является SFS skip-3-gram (т.е. между T и G находятся три буквы). Поэтому этот SFS почти незаметен, особенно по сравнению с H_U, U_H или G_T, которые все являются SFS skip-1-gram. На этот раз они имеют расстояние всего 1U. Попробуйте набрать это слово.
Таким образом, Qwerty показывает ужасные результаты по SFS. Преимущество оптимизации SFS заключается в том, что каждое слово распределяется на большее количество пальцев. Более того, когда приходится использовать один и тот же палец почти подряд, расстояние между клавишами будет минимальным.
4.6. Расстояние на раскладке
Долгое время расстояние измерялось как «расстояние от основной строки». Другими словами, считалось, что нажатие клавиш на основной строке не требует движения, а нажатие клавиш вне основной строки — требует. Однако это серьёзное упрощение. Например, возьмём слово refer на Qwerty:

Если быстро набрать это слово, вы заметите, что при нажатии второй E движение не требуется (несмотря на то, что E находится на верхнем ряду), так как наш левый средний палец уже находится над этой клавишей. Между тем, хотя F находится на основной строке, её нажатие требует опустить левый указательный палец.
Это показывает, что для точного измерения расстояния, которое требуется для нажатия клавиши, нужно учитывать, какую клавишу палец нажимал ранее. Это важно не только внутри слова, но и между словами. Например, представьте набор слова when, за которым следует you на Qwerty:

Жёлтая линия показывает буквы, нажимаемые правым указательным. Буква N в слове when сопровождается пробелом, и сразу после этого наш правый указательный палец должен перепрыгнуть через основную строку, чтобы нажать Y. Таким образом, N_Y является межсловным SFS (inter-word), а H_N или Y_U — внутрисловными SFS (intra-word).
С учётом всего этого, самый простой способ измерить эффективность раскладки по расстоянию SFB — масштабировать каждую SFB по её длине. Например, если частота SFB составляет 0,4%, а расстояние — 1,2, мы просто умножаем 0,4 на 1,2. Затем делаем то же самое для всех оставшихся SFB в раскладке. То же самое применимо и к SFS, чтобы получить расстояние SFS.
Метод выше сохраняет расстояния SFB и SFS как отдельные показатели. Более сложный подход — объединять обе статистики в одну, при этом штрафуя последовательное использование пальцев сильнее, чем полу-последовательное. Например, можно взвесить расстояние SFB как 1, расстояние SF skip-1-gram как 0,5, а затем уменьшать экспоненциально (например, skip-2-grams — 0,25, skip-3-grams — 0,125). Это позволяет учитывать все skipgram, а не только skip-1-gram.
Кроме того, этот подход можно использовать для расчёта движения каждого пальца, где «движение» = расстояние SFB + SFS. Иногда это называют «скоростью пальцев». Суть скорости пальцев в том, чтобы, имея группу букв (3 буквы на мизинце, безымянном или среднем пальце, 6 — на указательном), определить их расположение так, чтобы суммарное расстояние SFB + SFS было минимальным. Анализаторы Genkey и Oxeylyzer рассчитывают расстояние именно таким образом.
4.7. Снижение привлекательности SFB и SFS с расстоянием 2U
Как объяснялось ранее, чтобы вычислить расстояние между двумя клавишами, нужно возвести в квадрат горизонтальное и вертикальное расстояния, а затем извлечь квадратный корень из суммы. Сделав это, для Qwerty: RT = 1U, RG = 1,6U, RV = 2,02U, RB = 2,66U:

Однако, чтобы рассчитать расстояние или движение для каждого пальца (т.н. «скорость пальцев»), анализаторы вроде Genkey или Oxeylyzer не извлекают квадратный корень из суммы. Таким образом, Qwerty RT остаётся 1U, а RG теперь = 2,56U, RV = 4,56U и RB = 7,06U!
Смысл опускания извлечения квадратного корня при измерении расстояния в том, чтобы сильнее штрафовать большие расстояния (SFB с 2U теперь будут наказываться в 4 раза сильнее, чем 1U). Это приводит к тому, что анализатор выдаёт раскладки, где большинство SFB и SFS имеют расстояние только 1U.
4.8. Распределение движения между пальцами
Даже если исключить колонки букв, которые плохо проявляют себя по расстоянию SFB и SFS, английский язык всё равно даёт большую гибкость при размещении алфавита для создания раскладок клавиатуры.
Есть ключевая концепция, которую нужно понимать при проектировании раскладок. Для объяснения используем аналогию. Представьте воздушный шар. Если мы его сжимаем в одном месте, воздух перемещается в другие части шара. То же самое справедливо для движения пальцев на клавиатуре. Если мы прилагаем мало усилий в одной части раскладки, больше усилий приходится на другую.
Чтобы лучше это визуализировать, рассмотрим несколько примеров раскладок. Все они имеют одинаковую правую руку (руку для гласных). Затем оставшиеся согласные будут использованы для различных вариантов левой руки. Суть в том, что каждая раскладка домашнего ряда согласных распределяет движение по пальцам по-разному.

Следующая таблица показывает движение каждого пальца на согласной руке (по данным Genkey при использовании корпуса MonkeyType + TypeRacer):

В Rsnt безымянный палец и особенно мизинец практически расслаблены, однако использование центральной колонки тоже низкое. Недостаток в том, что средний палец вынужден компенсировать это. Для сравнения, в Snht движение безымянного пальца почти удваивается, а использование мизинца верхнего ряда увеличивается на 1%, но в то же время движение среднего пальца значительно ниже, чем раньше. Nstr сознательно концентрирует движение на указательном пальце, где SFB можно удобно набирать альтернативными пальцами. Srht имеет наименьшее общее движение, но за счёт максимального использования мизинца верхнего ряда. В общем, каждая из предложенных раскладок согласных имеет свои плюсы и минусы.
4.9. Расстояния в Qwerty

На Qwerty три пальца испытывают особенно большое движение:
- Левый средний: высокая нагрузка объясняется частыми SFB и SFS ED и DE, а ещё больше — EC и CE, так как последние две имеют расстояние 2U.
- Левый указательный: буква R вызывает множество SFB: TR, RT, FR, а также GR (1,6U) и BR (2,66U). Кроме того, здесь много SFS: TR, FR, RT, BT и VR (последние две — 2U).
- Правый указательный: плохо распределяет расстояние, так как все его SFB ≥ 2U: UN, NY, UM, MU и MY. Основные SFS — MN, HN и YU, все по 1U, но есть и SFS с 2U: UH, UN и NY.
- Правый безымянный: хоть он и не так критичен, как предыдущие три пальца, всё равно испытывает нагрузку из-за частых SFB и SFS LO и OL (по 1U).
В общем, суть в том, что Qwerty не оптимизировалась с учётом расстояний SFB и SFS.
4.10. Примеры плохих слов в Qwerty
В следующих разделах приведены слова, которые трудно набирать, так как они задействуют проблемные пальцы Qwerty: левый средний, левый указательный, правый указательный (и в меньшей степени правый безымянный).
Для каждого примера слова цветные линии показывают, какие клавиши нажимаются каждым пальцем. Это преследует две цели. Во-первых, позволяет легко визуализировать SFB и SFS, чтобы концепция была хорошо понятна. Во-вторых, делает недостатки Qwerty более очевидными.
Например, возьмём слово decided на Qwerty:

Одна цветная линия охватывает почти все буквы, показывая, что они нажимаются одним пальцем. Таким образом, это слово с высокой нагрузкой SFB.
Теперь возьмём слово amendment:

Здесь две линии для двух пальцев. Более того, между повторным использованием пальца всегда есть промежуток в одну букву, что указывает на SFS. Таким образом, это слово с высокой нагрузкой SFS.
Цветовая схема для пальцев следующая:

- Жёлтый — клавиши, нажимаемые правым указательным пальцем. Например, NUM будет SF-триграммой (NU = 2U, UM = 2,1U).
- Оранжевый — левый указательный палец. Например, B_R = SFS 2,66U.
- Зелёный — левый средний палец. E_E = SFS, за которым следует SFB (ED).
- Синий — правый безымянный палец (в этом примере не используется).
- Серый — остальные пальцы.
Если палец нажимает только одну букву в слове, линия не отображается, так как расстояние SFB и SFS для этого пальца равно нулю. Также линия не будет отображаться для SFS глубже skip-3-gram (т.е. skip-4-grams и далее), так как они теряют актуальность.
4.10.1. Слова с высокой нагрузкой SFS на Qwerty
Примечание: SFS, в которых одна и та же клавиша нажимается дважды, не требуют движения, так как палец уже находится над этой буквой после первого нажатия. Пример такого SFS — E_E.
Слова, набираемые в основном чередованием двух пальцев:

Слова, у которых все SFS находятся на одном пальце:

4.10.2. Слова с высокой нагрузкой SFB на Qwerty
Слово с большой нагрузкой (SFB и SFS) на правом указательном пальце:

Слово с большой нагрузкой (SFB и SFS) на левом среднем пальце:

5. Альтернативная расстановка пальцев, коллизии SFB и скольжение
5.1. Альтернативная расстановка пальцев
Использование пальца, отличного от стандартного, для набора определённой биграммы с целью избежать SFB называется альтернативной расстановкой пальцев (alt fingering). Например, при стандартной расстановке на Qwerty биграммы CE и EC являются SFB с расстоянием 2U:

Вместо этого, чтобы устранить упомянутые SFB, мы можем использовать альтернативную расстановку для CE/EC, нажимая C указательным пальцем (вместо среднего). Именно так поступают многие продвинутые пользователи Qwerty.
5.2. Коллизии SFB
Коллизия возникает, когда использование альтернативного пальца для SFB создаёт новый SFB. Например, при стандартной расстановке CT не является SFB на Qwerty. Однако если применить alt fingering для EC, как описано выше (т.е. C нажимается указательным), тогда CT становится SFB, особенно в триграмме ECT:

Лучшие альтернативные пальцы — те, которые не вызывают коллизий SFB. Тем не менее, иногда коллизий не избежать.
5.3. Проектирование раскладки с учётом alt fingering
Хотя alt fingering может использоваться для обхода некоторых проблем плохих раскладок, таких как Qwerty, нас в первую очередь интересует использование этой техники для дальнейшего улучшения хорошо оптимизированных раскладок.
Если никогда не отклоняться от стандартной расстановки или angle mod, можно минимизировать SFB лишь до определённого уровня, так как нас ограничивает частота биграмм в английском языке. Для дальнейшего снижения SFB можно намеренно разместить некоторые SFB в местах, где их удобно набирать альтернативным пальцем. Раскладка, использующая такой подход — Noctum, которая имеет три предназначенных alt пальца: RK, RL и LK. Обратите внимание, что приведённая ниже раскладка уже использует angle mod:
Чтобы использовать alt fingering для RK, мы нажимаем R средним пальцем, а K указательным. Так как биграмма RK никогда не предшествует клавишам среднего пальца (т.е. триграммы вроде DRK, TRK или MRK отсутствуют в английском), alt fingering для RK не вызывает коллизий SFB на Noctum. Аналогично, alt fingering LK (нажатие L средним пальцем и K указательным) также свободен от коллизий SFB.
Alt fingering RL (R указательным, L средним) создаёт коллизию SFB в слове WORLD, так как в этом случае L и D нажимаются средним пальцем. Возможное решение — ввести ещё один alt finger и нажимать D безымянным пальцем в этом конкретном случае. Некоторые могут утверждать, что если для удаления одного SFB (RL) нужно использовать два alt finger (RL и LD), лучше просто набрать SFB обычным способом.
5.4. Наиболее удобные alt finger
Считается, что лучшее место для SFB, который мы собираемся набирать альтернативным пальцем, — указательный палец. Так мы можем комфортно нажимать одну из двух клавиш указательного пальца средним пальцем. Кроме того, часто используют клавиши, расположенные рядом друг с другом, для alt finger, чтобы при обычном наборе SFB длина оставалась 1U.
5.4.1. Смещение рядов (row stagger)
Стандартные клавиатуры несимметричны. Поэтому биграмма и её зеркальное отображение (та же биграмма, но на противоположной руке) могут иметь разную длину. Мы сравниваем каждый alt finger с его зеркалом. Более удобный из двух показан зелёным, менее удобный — жёлтым.

- Qwerty FR (указательный → средний) — лёгкий alt finger. Это связано с тем, что смещение рядов делает R очень близкой к позиции отдыха среднего пальца (D). На правой руке K заметно дальше от U, поэтому JU требует большего движения среднего пальца.
- Qwerty UH (средний → указательный) очень удобен на правой руке. Его зеркало (RG) заставляет немного разводить пальцы, так как клавиши находятся дальше друг от друга. Тем не менее, RG требует меньшего прыжка среднего пальца.
- Qwerty RT (средний → указательный) удобнее своего зеркала (UY) просто потому, что T ближе к позиции отдыха указательного пальца (F), чем Y к J. Та же логика применима к Qwerty MN, который лучше, чем VB.
- Qwerty DC (средний → указательный) возможен как alt finger при стандартной расстановке. Если использовать angle mod, это уже не alt finger, но тогда CV станет им.
- Qwerty FG идентичен JH, так же как FV и JN.
В любом случае, если в вашей раскладке есть частый SFB на указательном пальце, его можно превратить в удобный alt finger, разместив в одном из приведённых вариантов.
5.4.2. Клавиатуры без смещения рядов
Есть мнение, что на клавиатурах где нет смешения рядов, alt finger реализован удачнее, чем на обычных со смещением.
Например, сравните «вертикальные alt finger» на row stagger и на матрице:

То, что на row stagger каждый ряд слегка смещён относительно соседнего, и делает приведённые выше alt finger удобными. Это позволяет использовать средний палец для нажатия одной из клавиш указательного пальца, не испытывая дискомфорта.
Кроме того, некоторые диагонали центральной колонки (в частности, Qwerty N и T) легче нажимать на row stagger, так как они ближе к позиции отдыха указательного пальца. Поэтому alt finger с участием этих клавиш также лучше работают на row stagger.
В любом случае, следующие alt finger остаются практически одинаковыми вне зависимости от типа клавиатуры:

5.5. Скольжение (Sliding)
Аналогично alt fingering, скольжение (sliding) — это альтернативный метод набора SFB. Он заключается в скольжении пальца вниз от первой клавиши SFB ко второй. Пример раскладки, где люди могут использовать скольжение, — Dvorak

На правой руке все SFB направлены вниз, как показано стрелками. Например, SFB GH всегда происходит в направлении G → H. Для набора можно нажать G, а затем сдвинуть указательный палец вниз к H. Предпочтение использовать скольжение или набирать SFB обычным способом зависит от личных привычек.
Заметьте, что скольжение предназначено для плоских клавиатур ноутбуков. На клавиатурах с высокими колпачками пальцу будет неудобно скользить между клавишами.
6. Ножницы (Scissors)
6.1. Пропуски рядов и ножницы
Row skip или row jump — это любая биграмма, где один палец тянется к верхнему ряду, а другой палец на той же руке опускается к нижнему ряду. Популярная раскладка, минимизирующая row skip, — Mtgap:

Проблема полного минимизирования всех движений вверх-вниз в том, что это сильно ограничивает дизайн раскладки. Более того, не все движения вверх-вниз равнозначны. Поэтому обычно вместо штрафа за все движения вверх-вниз используют концепцию «ножниц» (scissor), которая штрафует лишь некоторые такие движения. Раскладка Canary была разработана с этим подходом:

Сложность в определении ножниц (scissors) заключается в том, что, в отличие от row skips, они по сути субъективны — не все согласятся, какие движения вверх-вниз комфортны, а какие нет. В любом случае, предлагается следующее определение.
6.2. Полные ножницы (Full Scissors Bigrams, FSB)
FSB — это биграмма, которая удовлетворяет следующим условиям:
- Вертикальное разделение клавиш составляет два ряда.
- Палец, который предпочитает быть выше, находится ниже. Это включает биграммы, где средний палец ниже любого другого пальца, а также биграммы, где безымянный палец ниже мизинца или указательного.
Для понимания предложенного определения ножниц используем следующие изображения. Красные линии указывают ножницы, зелёные линии — предпочтительные сочетания пальцев. Первое изображение показывает смежные пары пальцев, второе — несмежные пары:

На левой руке красные линии показывают биграммы, где более длинный палец находится ниже короткого. На правой руке ситуация обратная (длинный палец теперь выше). Если попробовать оба варианта, вы, скорее всего, заметите, что зелёные линии набирать значительно комфортнее.
Хотя учет длины пальцев важен, необходимо также учитывать угол подхода рук к клавиатуре. То есть наши запястья не образуют угол 90° по отношению к клавиатуре, а ближе к 70°. Это естественным образом ставит указательный палец чуть ближе к нижнему ряду, а мизинец — к верхнему ряду. В любом случае, предпочтительное положение каждого пальца (по отношению к другому пальцу в биграмме) будет следующим:
- Указательный палец предпочитает быть ниже.
- Средний палец предпочитает быть выше.
- Безымянный палец предпочитает быть выше указательного и мизинца, но ниже среднего.
- Мизинец предпочитает быть ниже среднего и безымянного, но выше указательного.
6.3. Другие возможные ножницы
Некоторым может не понравиться определение ножниц выше, так как для данной пары пальцев (например, мизинец-безымянный) учитывается только одно из двух возможных движений. Например, большинство согласится, что безымянный палец ниже мизинца более неудобен, чем наоборот. Тем не менее, некоторые могут утверждать, что противоположное движение (мизинец нижний ряд — безымянный верхний ряд) также следует штрафовать.
Основные движения вверх-вниз, которые можно добавить к предыдущему определению ножниц, — это биграммы, где мизинец ниже безымянного или безымянный ниже среднего:
Таким образом, даже если более длинный палец находится выше, эти биграммы можно считать ножницами. Обратите внимание, что при стандартной расстановке пальцев на row stagger вышеуказанные биграммы на левой руке ощущаются более неудобными из-за крутого угла.

6.4. Угол ножниц
Угол между двумя клавишами существенно влияет на ощущение ножниц. Например, на изображении ниже показаны ножницы средний–указательный палец при стандартной расстановке (буква C нажимается средним пальцем) на клавиатуре с row stagger:

В целом, более крутые углы создают более выраженное ощущение ножниц, тогда как пологие углы добавляют компонент бокового растяжения. Например, на Qwerty CR основная проблема — движение вверх-вниз, когда пальцы почти пересекаются. Для сравнения, на Qwerty ,Y боковое растяжение становится более заметной проблемой.
6.5. Смежные и несмежные ножницы
При проектировании раскладки следует стремиться минимизировать ножницы между смежными пальцами, так как они наиболее заметны. По возможности также сокращаем несмежные ножницы, но это менее приоритетно.
6.6. Полные ножницы с пропуском (Full Scissor Skipgrams, FSS)
Разница между FSB и FSS заключается в том, что в первом случае две клавиши, образующие ножницы, нажимаются последовательно, а во втором между ними есть другая клавиша, нажимаемая третьим пальцем. Наличие промежуточной клавиши делает FSS менее заметными, чем FSB.
6.7. Полуножницы (Half Scissors Bigrams, HSB)
HSB — это биграмма, в которой:
- Вертикальное разделение между клавишами составляет всего один ряд.
- Палец, который предпочитает быть выше, находится ниже. Это включает биграммы, где средний палец ниже любого другого пальца, а также биграммы, где безымянный палец ниже мизинца или указательного.
Иными словами, единственное отличие полной ножницы (FSB) от полуножницы (HSB) заключается в том, что вертикальное разделение между клавишами уменьшено вдвое. Естественно, это делает полуножницы значительно менее проблемными, хотя они всё ещё не идеальны.
На изображениях ниже красные линии показывают полуножницы, а зелёные — предпочтительные сочетания пальцев. Первое изображение — смежные пары пальцев, второе — несмежные:

6.8. Полуножницы с пропуском (Half Scissor Skipgrams, HSS)
Разница между HSB и HSS заключается в том, что в первом случае две клавиши, образующие полуножницу, нажимаются последовательно, а во втором между ними есть другая клавиша, нажимаемая третьим пальцем.
6.9. Keysolve analyzer
To obtain the scissor and half scissor stats for a given layout we can use keysolve. The only difference between the scissor definition proposed in this document and the keysolve one is that keysolve counts all ring-middle bigrams as a scissor, independently of which of the two fingers is higher.
6.10.1. Снижение использования нижнего ряда
Простой способ минимизировать ножницы — размещать на клавишах нижнего ряда для среднего, безымянного и мизинца только редкие символы. Пример такой раскладки — Canary:

Мы видим, что клавиши внутри красных блоков используются редко. На левой руке ножниц нет, так как Q, J и V редко сочетаются с буквами верхнего ряда. То же касается знаков препинания на правой руке. При таком подходе единственная часть нижнего ряда с высокой нагрузкой — это клавиши для указательных пальцев. Любая раскладка, организующая нижний ряд таким образом, хорошо показывает себя с точки зрения ножниц.
6.10.2. Стратегическое избегание ножниц
Если мы размещаем часто используемые символы на клавишах нижнего ряда для среднего, безымянного или мизинца, необходимо быть осторожными, чтобы не создавать ножницы. Например, возьмём следующую раскладку:

С приведённым выше расположением на левой руке возникает много движений вверх-вниз (биграммы WH, BL, LD и LK). Однако количество ножниц можно уменьшить, поменяв местами буквы верхнего и нижнего ряда (обмен K/Q, D/M и B/W) следующим образом:

Все буквы остаются на тех же пальцах, но ножницы значительно сокращены. Разумеется, некоторые ножницы были заменены новыми (биграммы WL и MB теперь являются ножницами). Это ожидаемо: наличие часто используемых букв на нижнем ряду чаще всего приводит к некоторым неизбежным ножницам. Примером является ситуация, когда пальцу назначены буквы на верхнем и нижнем ряду, которые обе комбинируются с буквой на верхнем/нижнем ряду соседнего пальца. Например:

В этой раскладке безымянный палец PNB находится рядом с средним пальцем DTM. Следовательно, биграммы MP или MB станут ножницами (в зависимости от того, какая из букв P или B расположена на верхнем ряду).
6.10.3. Частые ножницы в раскладках
На руке для гласных ножницы обычно возникают из-за знаков препинания. Яркий пример — раскладки, использующие блок гласных YI OA UE, а под ним размещают пунктуацию. Например, Semimak:

Таким образом, когда буква верхнего ряда идёт перед знаком препинания, возникает ножница.
На руке для согласных буква, которая может приводить к наибольшему числу ножниц — это L. Причина в том, что L почти никогда не располагается на домашнем ряду, но комбинируется со всеми буквами, которые часто размещаются на верхнем или нижнем ряду (Y, D, P, B, C, F, G…). Когда L на верхнем/нижнем ряду, а любая из упомянутых букв на противоположном ряду, возникает ножница. Яркий пример — Hands Down Neu:

Другая буква, которая иногда вызывает ножницы — M. К счастью, M вызывает ножницы только с B и P (биграммы MB и MP), что делает её гораздо более гибкой, чем L.
7. Боковые растяжения (Lateral stretches)
7.1. Центральная колонка
Внутренние клавиши указательного пальца обычно называют центральной колонкой (center column). Эти клавиши заставляют слегка смещать указательный палец в сторону, чтобы нажать их:
Определять центральную колонку становится сложнее на клавиатурах с row stagger. По сравнению с матричной раскладкой буква I смещена немного влево, а буква N — вправо. Иными словами, N и I смещены навстречу друг другу, делая их ближе друг к другу, чем на матричной раскладке. Однако обратная ситуация для букв E и V, которые раздвинуты дальше. Поэтому несмотря на то, что буква V технически не принадлежит центральной колонке, на row stagger она ощущается больше как клавиша центральной колонки, чем N:

На изображении выше показано, что стандартные клавиатуры несимметричны. На клавиатурах с row stagger биграмма и её зеркальное отражение
7.2. Биграммы бокового растяжения (Lateral Stretch Bigrams, LSB)
В общем смысле, LSB — это биграмма, которая раздвигает два пальца или заставляет слегка смещать запястье вбок, чтобы дотянуться от одной клавиши до другой.
Проблема с более точным определением LSB заключается в том, что ощущение бокового растяжения зависит от личных факторов, таких как:
- Размер нашей руки.
- Под каким углом мы располагаем запястья относительно клавиатуры.
- Опираются ли запястья на поверхность или находятся в воздухе при печати.
- Тип используемой клавиатуры (row stagger, матричная, columnar stagger).
В любом случае, возможное определение LSB следующее:
Биграммы смежных пальцев, где горизонтальное расстояние составляет 2U или больше. Обычно это включает нажатие клавиши центральной колонки указательным пальцем, за которым следует или предшествует другая клавиша этим же пальцем средней руки (например, Qwerty TE, GE, BE…). Аналогично для биграмм, где одна из крайних клавиш мизинца нажимается вместе с клавишей безымянного пальца той же руки (например, Qwerty 'O, 'L…).

Биграммы полу-смежных пальцев, где горизонтальное расстояние составляет 3.5U или больше. Это относится к некоторым биграммам кольцо–указательный, где row stagger раздвигает клавиши достаточно далеко (например, BW, BS…):

7.3. Биграммы бокового растяжения с пропуском (Lateral Stretch Skipgrams, LSSs)
Разница между LSB и LSS заключается в том, что в первом случае две клавиши, образующие растяжение, нажимаются последовательно, а во втором между ними есть другая клавиша, нажимаемая третьим пальцем. Поскольку промежуточная клавиша прерывает боковое растяжение, LSS менее заметны, чем LSB. Например, возьмём Whix2 (с уголковым модом):

Выделенные линии почти не являются обычными LSB, так как биграммы WR и RV встречаются редко. Однако даже если пара букв не формирует LSB, она может приводить к LSS, как в нашем примере раскладки.
Конкретно, w_r — это распространённый skip-1-gram в словах вроде were, world или work. Быстро набирая wor на приведённой раскладке, мы вынуждены слегка смещать запястье вбок (чтобы дотянуться от w к r). Аналогично для v_r в словах вроде never, every, ever или over.
7.4. Row stagger vs матричные LSB
На матричных клавиатурах ряды идеально выровнены по вертикали, а на row stagger — нет. Поэтому длина некоторых боковых растяжений сильно зависит от типа клавиатуры:
LSB с наибольшей разницей между row stagger и матричной раскладкой — это те, где одна клавиша находится на нижнем ряду, а другая — на верхнем. Горизонтальная длина таких растяжений на row stagger может быть на 0.75U короче или длиннее. Например, Qwerty CT:

Разница снижается до 0.5U, когда одна клавиша в LSB находится на нижнем ряду, а другая — на домашнем ряду. Например, Qwerty DB:

Наконец, разница составляет всего 0.25U, когда одна клавиша в LSB находится на верхнем ряду, а другая — на домашнем ряду. Например, Qwerty DT:

7.4.1. LSB, встречающиеся только на матричных клавиатурах
Если использовать боковое расстояние 2U как порог для определения LSB смежных пальцев, то следующие биграммы будут считаться боковыми растяжениями на матричной клавиатуре, но не на row stagger (горизонтальное расстояние на row stagger уменьшается до 1.75U, 1.5U или 1.25U в зависимости от биграммы):
- На левой руке: Qwerty TD, TC, GC (указательный – средний)
- На правой руке: Qwerty HI, NI, NK (указательный – средний) и L[, .[, .' (безымянный – мизинец)
На матрице:

На row stagger, при стандартной раскладке (C нажимается средним пальцем):
Из-за этих различий в программах вроде Genkey, которые позволяют анализировать раскладку для row stagger или матрицы, статистика LSB обычно заметно ниже на row stagger, чем на матрице.
В целом, размещение букв в центральной колонке обычно менее проблематично на клавиатурах row stagger, при условии, что мы используем растяжения, которые короче на row stagger, и избегаем тех, которые становятся длиннее (перечислены на следующих страницах).
7.4.2. LSB, встречающиеся только на row stagger
Если использовать боковое расстояние 3.5U как порог для определения LSB полу-смежных пальцев, то следующие биграммы будут считаться боковыми растяжениями на клавиатуре row stagger, но не на матрице (горизонтальное расстояние на матрице уменьшается до 3U):
- На левой руке: Qwerty BW, BS (указательный – безымянный)
- На правой руке: Qwerty Y., H. (указательный – безымянный)
На row stagger:

На матрице:

Наконец, хотя приведённые ниже биграммы технически не квалифицируются как LSB смежных пальцев на row stagger (горизонтальное расстояние 1.75U, чуть меньше 2U), на row stagger они ощущаются заметно более «растянутыми», чем на матрице:

7.4.3. LSB, встречающиеся как на матрице, так и на row stagger
Одинаковая длина
Прежде всего, растяжения, длина которых не меняется независимо от типа клавиатуры:

Длиннее на row stagger
Биграммы, которые квалифицируются как LSB как на row stagger, так и на матрице, но на row stagger они длиннее:
- На левой руке: Qwerty GE, BE и BD (указательный – средний)
- На правой руке: Qwerty YK, Y, H, также O' (указательный – средний / безымянный – мизинец)
На матрице:
На row stagger:

7.4.4. LSB, специфичные для уголкового мода (angle mod)
Хотя уголковый мод (angle mod) делает клавиши нижнего ряда на левой руке более удобными для использования, он также вводит дополнительные растяжения, которых следует избегать при проектировании раскладок для angle mod.
Во-первых, два изображения ниже показывают LSB между указательным и средним пальцем, добавленные уголковым модом. Обратите внимание, что зелёные линии не квалифицируются как LSB, а красные — да.
Стандартная раскладка (средний палец нажимает C):

Уголковый мод (средний палец нажимает X):

Во-вторых, уголковый мод также добавляет несколько LSB между указательным и безымянным пальцем:
Стандартная раскладка (безымянный палец нажимает X):

Уголковый мод (безымянный палец нажимает Z):

С уголковым модом клавиши нижнего ряда для среднего и безымянного пальцев находятся дальше от центральной колонки. Следовательно, растяжения, включающие эти клавиши, становятся длиннее. Чтобы смягчить эту проблему, следует размещать редкие биграммы там, где происходят большие растяжения. Таким образом, мы будем редко печатать такие сочетания.
7.5. Вокальная рука и LSB
Обычная схема в раскладках клавиатуры — располагать гласные на мизинце, безымянном и среднем пальцах одной руки, а указательный палец оставлять для согласных. В таких раскладках обычно наблюдается колонка OE или OA на среднем пальце:

Раскладки с такой структурой обычно размещают гласные на правой руке, так как буква O вызывает меньшие растяжения на этой стороне. Чтобы визуализировать это, сравним стандартную раскладку Canary с её зеркальной версией:

При зеркальном отображении раскладки (не рекомендуется) пары FO и MO становятся более длинными растяжениями. Это связано с тем, что на row stagger клавиша верхнего ряда для среднего пальца находится ближе к центральной колонке на правой руке, чем на левой.
На матричных клавиатурах (которые симметричны) можно зеркалировать раскладки более свободно.
7.6. Минимизация растяжений
7.6.1. Снижение использования центральной колонки
Если наша проблема заключается не столько в уменьшении боковых растяжек, сколько в использовании центральной колонки в целом, то можно выбрать раскладку вроде Engram:

Однако столь сильная минимизация использования центральной колонки имеет несколько недостатков:
- Повышенная нагрузка на мизинцы, так как больше букв смещается в углы, доступные мизинцам.
- Большее количество «ножниц». Тем не менее, неудобные движения вверх–вниз можно значительно сократить за счёт грамотного размещения букв. Например, Engram в этом отношении показывает себя довольно хорошо.
Более компромиссный подход — раскладка вроде Mtgaphttps://mathematicalmulticore.wordpress.com/the-keyboard-layout-project/):

Здесь использование центральной колонки немного выше, но взамен каждый мизинец имеет лишь одну часто используемую букву вне домашнего ряда (например, у Engram мизинцы — BCG и VNP, тогда как у Mtgap — только YI и WR).
7.6.2. Стратегическое избегание растяжек
Если нас не смущает использование центральной колонки, пока удаётся избегать больших растяжек, то достаточно размещать редкие биграммы там, где возникают самые длинные растяжки. Примером такой раскладки является Wave eo (с angle mod).
Обратите внимание, что в этой раскладке буква M нажимается средним пальцем (имеется колонка DTMK). В любом случае, красные линии ниже показывают самые длинные растяжки на клавиатуре с рядовым смещением. Мы видим, что в Wave eo этим растяжкам соответствуют очень редкие биграммы, а значит, выполнять такие движения придётся крайне редко

Длинные растяжки, характерные для long angle mod, в этой раскладке также соответствуют очень редким биграммам:

В раскладке более частые биграммы размещаются только в позициях, которые приводят к меньшим растяжкам:

- Таким образом, наличие нескольких букв в центральной колонке (B, P, Y и G) не привело к появлению больших растяжек в данной раскладке.
Преимущества размещения нескольких букв в центральной колонке заключаются в следующем:
- Меньшая нагрузка на мизинцы, поскольку меньше букв смещается в углы, доступные мизинцам.
- Меньше «ножниц», так как клавиши нижнего ряда под средним и безымянным пальцами используются реже.
8. Статистика триграмм
8.1. Alternates, rolls, 3rolls и redir
Существует четыре показателя, которые показывают, какие движения рук наиболее часто встречаются в конкретной раскладке. Они вычисляются на основе триграмм (последовательностей из трёх нажатий клавиш):
- ALTERNATE (чередование): нажатие одной клавиши одной рукой, затем клавиши другой рукой, и затем снова первой рукой (1, 1, 1). Иными словами, чистая чередующаяся триграмма. Пример: QWERTY AND.
- ROLL (ролл): нажатие двух клавиш одной рукой и третьей — другой рукой (2, 1 или 1, 2). Иными словами, ролл из двух клавиш, за которым следует или которому предшествует смена руки. Пример: QWERTY OUR. Обратите внимание, что две клавиши должны нажиматься разными пальцами.
- 3ROLL (также называется one-hand): одноручная триграмма, в которой все нажатия идут в одном направлении. Иными словами, триграммный ролл. Пример: QWERTY WER.
- REDIRECT (перенаправление): одноручная триграмма, в которой направление движения меняется. Например, QWERTY SAD является redirect, так как SA — движение наружу, а AD — внутрь. Нужно ли минимизировать redirects — вопрос личных предпочтений.
Приведённые выше показатели рассчитываются именно на основе триграмм, чтобы перенаправления не учитывались как роллы. Например, если бы мы использовали биграммы для расчёта статистики, последовательности вроде DFDFDF могли бы быть классифицированы как несколько роллов, хотя на самом деле это просто длинная одноручная последовательность.
8.2. Связь между alts, rolls, 3rolls и redir
Ниже приведена статистика триграмм для пяти раскладок. Раскладки отсортированы от наибольшего к наименьшему уровню чередования. Числа указаны в процентах:

Из таблицы можно выявить несколько закономерностей:
- **Меньшее чередование приводит к большему количеству роллов, но также и к большему числу перенаправлений (redirects). Фактически, между раскладкой с максимальным чередованием, такой как Poqtea (36,5% роллов всего), и Seht Drai (59% роллов всего) наблюдается огромная разница в суммарном количестве роллов (то есть 2-rolls + 3-rolls).
- Напротив, более высокое чередование приводит к меньшему количеству роллов и меньшему числу перенаправлений. Раскладки с конфигурацией T + гласные (например, Poqtea) являются исключением, так как у них высокий уровень перенаправлений, несмотря на высокое чередование. Во всех остальных случаях высокий уровень чередования приводит к меньшему числу перенаправлений.
В любом случае, главный вывод заключается в том, что ни одна клавиатурная раскладка не может полностью оптимизировать все показатели одновременно, поскольку максимизация одного параметра неизбежно ухудшает другие. Поэтому у всех раскладок есть свои плюсы и минусы.
8.3. Баланс между чередованием и rolling
Выбор между rolling и чередованием — вопрос субъективный. Можно сказать, что чередование даёт более стабильный опыт печати, так как ощущается ритмичным и сводит к минимуму неловкие последовательности. В то же время роллы имеют более выраженные «пики» (слова, которые ощущаются очень плавными), но и более глубокие «провалы» (длинные последовательности, набираемые одной рукой).
При этом вопрос не стоит как «или то, или другое». Скорее, это шкала: на одном её конце находится максимальное чередование, на другом — максимальный роллинг. Нам нужно решить, где именно на этой шкале должна находиться наша раскладка.
8.4. Какие согласные приводят к большему или меньшему количеству роллов
В большинстве раскладок все гласные располагаются на одной руке. Это обеспечивает здоровый уровень чередования, благодаря которому уменьшается количество длинных одноручных последовательностей и перенаправлений.
Даже если мы знаем, на какой стороне будут гласные, нам всё равно нужно решить, какие согласные разместить на стороне гласных. Чтобы помочь в этом, мы воспользуемся таблицей ниже, которая показывает, насколько часто каждая согласная сочетается с гласными по сравнению с сочетаниями с согласными.
Например, мы можем увидеть, что R + гласные составляют 9,38% всех биграмм, тогда как R + согласные — 4,19%. Таблица отсортирована по третьему столбцу (столбец гласных минус столбец согласных). Кроме того, основные согласные (T, N, S, R и H) выделены, поскольку их размещение сильнее всего влияет на статистику раскладки. Буквы X, J, Q и Z исключены:

Согласные, находящиеся в верхней части таблицы (например, R и N), при размещении на одной руке с гласными сильнее всего увеличивают роллинг. Напротив, буквы в нижней части таблицы (например, H и T) больше способствуют чередованию. Хотя это в целом верно, это лишь обобщение. Чтобы получить более точную картину, необходимо рассматривать триграммы. Этим мы займёмся на следующей странице.
8.5. Частые триграммы, роллы и чередование
Чтобы глубже понять, откуда берутся статистические показатели раскладки, можно рассмотреть наиболее распространённые триграммы для конкретной буквы и проверить, как они будут набираться в зависимости от того, расположена ли эта буква на руке с гласными или на руке с согласными. Ниже приведены выводы, к которым можно прийти, проделав такой анализ для основных согласных:

-
H даёт неплохой роллинг независимо от того, размещаем ли мы её на стороне гласных или нет. Чтобы понять почему, рассмотрим следующие триграммы: THE, THA и THI.
В раскладке Graphite (H на стороне гласных) T–HE, T–HA и T–HI набираются так, что одна клавиша нажимается одной рукой, а две — другой. То же самое справедливо и для Inrolly (H на стороне согласных), только теперь триграммы набираются как TH–E, TH–A и TH–I. Таким образом, в обоих случаях это роллы — меняется лишь та часть триграммы, которая образует ролл.
-
T максимально усиливает чередование при размещении на стороне гласных. Это связано с тем, что очень распространённые триграммы T–H–E, T–H–A и T–H–I в этом случае становятся чередующимися (то есть набираются по одной клавише за раз с постоянной сменой рук). В качестве примера раскладки можно посмотреть Poqtea. В любом случае, если нам нужен хороший роллинг, T всегда должна оставаться на стороне согласных.
-
R и N максимально усиливают роллинг при размещении на стороне гласных. Хороший пример — Inrolly, в которой наблюдается огромное количество роллов. Здесь присутствуют частые роллы N + гласные (IN, AN, ON, EN …), роллы R + гласные (ER, RE, OR, AR …), некоторые распространённые 3-rolls (YOU, OUR, ION, REA …), а также все согласные роллы (TH, ST, CH, CT, WH, TS, SH, LD …).
При желании можно проанализировать и менее частые буквы. Например, D и G способствуют роллингу на стороне согласных, поскольку распространённые триграммы A–ND и I–NG являются роллами. Однако при размещении D и G на стороне гласных они, наоборот, начинают способствовать чередованию, так как A–N–D и I–N–G превращаются в чередующиеся последовательности.
8.6. Roll comfort
Ниже перечислены основные факторы, влияющие на то, насколько комфортным будет ролл:
- В идеале две клавиши в биграмме должны находиться в одном ряду.
- Если клавиши расположены на расстоянии одного или двух рядов, предпочтительно, чтобы более длинный палец находился выше (например, комфортнее, когда средний палец расположен выше указательного, безымянного или мизинца, а не наоборот).
- Роллы, не требующие бокового растяжения (возникающего при нажатии на далеко расположенные клавиши), более комфортны, чем те, которые его требуют.
- Роллы, набираемые сильными пальцами (указательным и средним), как правило, считаются более удобными, чем роллы с участием слабых пальцев (безымянного и мизинца).
- Некоторым людям больше нравятся роллы между соседними пальцами. К соседним парам относятся: мизинец – безымянный, безымянный – средний и средний – указательный. Несоседние пары — это: мизинец – средний, безымянный – указательный и мизинец – указательный.
- Наконец, для некоторых людей важно также направление ролла. Например, ролл средний → указательный палец может быть направлен внутрь (QWERTY DF) или наружу (QWERTY FD). Существуют раскладки, специально оптимизированные под внутрь направленные роллы.
Таким образом, не все роллы в раскладке обязательно будут комфортными. В конце концов, базовое определение ролла (триграмма, в которой две клавиши нажимаются одной рукой, а третья — другой) довольно общее и может включать такие биграммы, как «ножницы», боковые растяжки и т. п.
8.7. Какие согласные приводят к большему или меньшему числу перенаправлений
Первое правило минимизации перенаправлений — размещение всех гласных на одной руке. Это связано с тем, что гласные на одной стороне обеспечивают чередование, а оно уменьшает количество перенаправлений.
Далее нам нужно определить, какие согласные образуют с гласными роллы в одном направлении, так как это тоже помогает снижать количество перенаправлений. В конце концов, перенаправления — это смена направления движения.
Таблица ниже показывает, насколько каждая согласная предпочитает одно направление по сравнению с другим (то есть согласная → гласная против гласная → согласная). Буквы, которые имеют высокий показатель в одном направлении и низкий — в другом, располагаются выше в таблице, что указывает на их более выраженную однонаправленность. В четвёртом столбце показано соотношение, в котором каждая согласная предпочитает своё доминирующее направление. Кроме того, основные согласные (T, N, S, R и H) выделены, поскольку их размещение сильнее всего влияет на статистику раскладки. Буквы X, J, Q и Z исключены:

Главный вывод заключается в том, что любая раскладка, стремящаяся минимизировать перенаправления, должна размещать букву H на стороне гласных, поскольку H сочетается с ними только в одном направлении (соотношение 83 к 1!). На противоположном конце спектра размещение R или T на стороне гласных заметно увеличивает количество перенаправлений, так как они сочетаются с гласными примерно одинаково часто в обоих направлениях.
8.8. Частые триграммы и перенаправления
В общем случае перенаправления являются следствием увеличения роллинга в раскладке. Ниже приведены основные шаблоны букв, которые приводят к появлению перенаправлений:

- Триграммы «гласная → согласная → гласная». Они неизбежно будут перенаправлениями, если все три буквы находятся на одной руке. Например, ERE, ONE и ARE в раскладке Inrolly.
- Триграммы «согласная → гласная → согласная». Они также будут перенаправлениями, если все три буквы расположены на одной стороне. Например, HIN, HEN и HAN в раскладке Rolly.
- Две гласные подряд, за которыми следует или которым предшествует согласная. В зависимости от конфигурации гласных такие последовательности будут либо перенаправлениями, либо 3-роллами. Например, в Inrolly EAR и AIN являются перенаправлениями, тогда как OUR, ION и REA — это 3-роллы.
- Триграммы, состоящие только из согласных. Они будут перенаправлениями или 3-роллами в зависимости от конфигурации согласных. Например, STR в раскладке Rolly — это перенаправление.
- Триграммы с пунктуацией. Например, T'S является перенаправлением как в Rolly, так и в Inrolly.
В идеале все три клавиши в перенаправлении должны находиться в одном ряду (например, AIN или STR в раскладке Rolly). Однако на практике во многих перенаправлениях только две буквы располагаются в одном ряду, а третья — в другом (например, ONE, HIN, HEN или HAN в раскладке Rolly).
Ещё один аспект, влияющий на ощущение от перенаправления, — наличие SFS. Если SFS присутствует, перенаправление набирается всего двумя пальцами, так как один палец используется дважды (например, HIN, HEN или HAN в раскладке Rolly). Если же SFS отсутствует, используются три пальца (например, AIN, ONE или STR в раскладке Rolly).
8.9. «Слабые» перенаправления
Перенаправления, в которых не задействован указательный палец, иногда называют «слабыми» или «плохими» перенаправлениями, поскольку их сложнее набирать. При этом люди, которые развили хорошую независимость и ловкость более слабых пальцев (например, благодаря игре на музыкальном инструменте), скорее всего вообще не будут испытывать проблем с «слабыми» перенаправлениями.

Большинство триграмм в английском языке (а значит, и большинство перенаправлений) включают как гласные, так и согласные. Напротив, триграммы, состоящие только из гласных, встречаются крайне редко. Поэтому для минимизации слабых перенаправлений необходимо разместить все гласные на одной руке и конкретно на трёх последних пальцах (мизинце, безымянном и среднем). Соответственно:

Следует отметить, что хотя триграммы, состоящие только из гласных, редки в английском языке, некоторые триграммы, состоящие только из согласных, встречаются довольно часто. Тем не менее, при правильном расположении букв можно избежать слабых перенаправлений и на стороне согласных. Например, ни одно из перенаправлений на левой руке в раскладке Whix (STR, NDS, RST, NST, NTS, RTH …) не является слабым перенаправлением.
8.10. Частые триграммы & 3rolls
Раскладки, которые стремятся максимально увеличить количество 3-роллов, неизбежно должны разделять гласные, размещая три гласные на одной руке и две — на другой. Это делается для того, чтобы самая распространённая триграмма в английском языке (THE) могла быть 3-роллом на одной руке, в то время как на другой руке также появлялись 3-роллы из следующих по частоте триграмм (ING, AND, ION …).
Примером такой раскладки является Seht Drai (с angle mod), которая максимизирует количество 3-роллов, при этом отлично оптимизируя и другие показатели раскладки, такие как SFB, SFS и т. д.

Ниже приведены 3-роллы в раскладке Seht Drai. Для каждой руки они отсортированы по частоте (на корпусе TypeRacer):
- Левая рука: THE, WHE, PLE, BLE, SEL, LES, TLE…
- Правая рука: ING, AND, ION, IND, ANY, ON', ONG, ARD, ANG, ANC, ORD…
В идеале все буквы в 3-ролле должны находиться в одном ряду (например, THE, ONG или ARD). Однако в рамках одной раскладки можно добиться этого лишь для небольшого числа 3-роллов. Лучшее, на что обычно можно рассчитывать для большинства 3-роллов, — это когда две из трёх букв находятся в одном ряду. Это верно для всех остальных 3-роллов в Seht Drai, кроме PLE, ANY и ANC (у этих трёх каждая буква находится в своём ряду).
В любом случае, недостаток использования разбиения гласных 3–2 заключается в резком падении чередования, что означает значительно большее количество перенаправлений и длинных одноручных последовательностей по сравнению с другими раскладками.
9. Структура раскладки
9.1. Стэки букв
Базовый шаг при создании раскладки — определить, где будут находиться наиболее частотные буквы. К ним относятся E, A, O, I среди гласных (мы будем выделять их зелёным цветом) и T, N, S, R, H среди согласных (они будут выделены красным).
Упомянутые выше буквы — основные претенденты на 8 позиций домашнего ряда в раскладке. Поскольку высокочастотных букв девять, а мест в домашнем ряду всего восемь, одна из них неизбежно будет вынесена за пределы домашнего ряда. В результате как минимум две высокочастотные буквы всегда будут делить одну колонку / один палец. Это называется «стэком». Возможные стэки согласных — NH, RH и NR, а стэки гласных — EO и AO:

Несмотря на более низкую частотность, буква C играет ключевую роль в раскладках. Уникальность буквы C заключается в том, что она не может делить колонку с T, N, R или H (из-за высокого числа SFB). Поэтому в раскладках с одним стэком буква C всегда будет находиться в SC-колонке (см. раскладки выше).
Однако существуют аспекты проектирования раскладок (например, SFB), которые можно полностью оптимизировать только если разорвать пару SC и дать букве C собственную колонку. А для этого необходимо иметь два стэка (один стэк согласных + один стэк гласных):

Таким образом, существует 4 основные категории: 1 стэк согласных, 1 стэк гласных, а также 2 стэка с размещением C либо под указательным пальцем, либо под мизинцем. Раскладки, относящиеся к одной категории, будут иметь больше общих свойств. На следующих страницах мы рассмотрим характеристики, общие для раскладок каждой категории.
9.2. Один стэк согласных
Раскладки, в которых две наиболее частотные согласные находятся в одной колонке (например, колонка NH):

В таких раскладках использование домашнего ряда максимально, поскольку буква O (четвёртая по частоте буква в английском языке) находится в домашнем ряду. Чтобы освободить место для O, буква H выталкивается из домашнего ряда.
Поскольку одна из основных гласных (обычно A или I) переносится на сторону согласных, уровень чередования заметно снижается. Вследствие этого увеличивается количество роллов и, в особенности, перенаправлений.
9.3. Один стэк гласных
Раскладки, в которых две наиболее частотные гласные находятся в одной колонке (например, колонка AO или EO):

Буква O теперь переносится в верхний ряд, а H занимает место в домашнем ряду. Соответственно, использование домашнего ряда немного снижается, поскольку H встречается реже, чем O.
Принципиальное отличие этой подкатегории от предыдущей заключается в том, что гласные теперь занимают лишь три позиции домашнего ряда, а не четыре. Это позволяет разместить все гласные на одной стороне, при этом всё ещё имея возможность размещать согласные на той же руке. Таким образом, можно добиться хорошего роллинга (за счёт сочетаний согласных с гласными) и низкого количества перенаправлений (благодаря гласным на одной стороне).
9.4. Два стэка (1 гласный + 1 согласный)
Раскладки, в которых присутствует стэк гласных (EO или AO) и стэк согласных (HN, RN или HR). Раскладки с двумя стэками имеют наименьшее использование домашнего ряда, но взамен позволяют добиться минимальных значений SFB.
В большинстве двухстэковых раскладок буквы S и C разделяются. Ниже мы сосредоточимся именно на таких раскладках. Тем не менее, технически возможно создавать двухстэковые раскладки, в которых колонка SC сохраняется.
9.4.1. С размещением C под указательным пальцем
Буква C вызывает незначительное количество SFB и SFS с несколькими относительно распространёнными буквами. Это можно использовать, разместив C на указательном пальце, чтобы сочетать её с пятью другими символами:

Символы C, D, Y, W, G, P, F, B, V и апостроф можно комбинировать почти свободно, так как они вызывают мало SFB между собой (исключение — BY SFB). Некоторые индексы C также включают букву M, хотя M вызывает SFB чаще (например, MY, MP, MB). Ниже представлена таблица с различными настройками C на указательном пальце и пример раскладки для каждой:

Для удобства сравнения буквы, встречающиеся на нескольких строках таблицы, размещены на одной вертикальной линии.
Например, указательные пальцы в Semimak и Gemini содержат D, C, W и G, но различаются по Y и P.
9.4.2. C на мизинце
Один из недостатков раскладок, рассмотренных в предыдущем разделе, заключается в том, что указательный палец, выделенный для буквы C, используется несколько недостаточно (примерно 11–14%). Если это вызывает проблему, C можно переместить на мизинец:

По сравнению с раскладками с C на указательном пальце, перемещение C на мизинец жертвует некоторой оптимизацией SFB и SFS, но при этом позволяет использовать более традиционные указательные пальцы с большей нагрузкой.
Ниже приведена таблица с вариантами размещения C на мизинце. По мере продвижения вниз по таблице встречаются варианты с более высокой нагрузкой на мизинец:

9.5. Сводная таблица
Ниже представлена таблица, которая суммирует характеристики различных категорий раскладок. Чтобы увидеть плюсы и минусы конкретной категории, смотрите строку таблицы. Чтобы сравнить, как разные категории проявляют себя по какому-либо аспекту, смотрите колонку.

- Добиться «низкого уровня SFB» можно в любой из категорий. Причина, по которой только третья категория отмечена как Low, заключается просто в том, чтобы подчеркнуть, что она способна оптимизировать SFB лучше других.
- Термин variable указывает на то, что перенаправления зависят от того, какие согласные стоят рядом с гласными. Например, H + гласные имеют низкие перенаправления, а NR + гласные — высокие.
Из таблицы можно выделить несколько закономерностей:
- Низкая нагрузка на указательный палец коррелирует с меньшим количеством SFB. Чтобы достичь минимального количества SFB, нужно использовать C на указательном пальце, и эти пальцы имеют низкую нагрузку. Тем не менее, есть раскладки, которые достигают низкого уровня SFB, сохраняя при этом высокую нагрузку на указательный палец.
- Низкая нагрузка на указательный палец также коррелирует с меньшим количеством SFS. Причина проста: на указательные пальцы назначено шесть клавиш, поэтому взаимодействий между буквами на этих пальцах гораздо больше, и все они могут создавать SFS. Цель оптимизации SFS — распределять каждое слово на большее количество пальцев, что подразумевает меньшую концентрацию часто используемых букв на одном пальце.
- Минимальное количество SFS требует стека гласных (особенно колонки AO). Вот почему раскладки с одним стеком согласных не могут снизить SFS ниже определённого уровня. Об этом мы подробнее расскажем в следующей главе.
10. Гласные блоки и пунктуация
10.1. Пересмотр home row
Старые раскладки клавиатуры проектировались с предположением, что все часто используемые буквы должны находиться на домашнем ряду. Это отлично иллюстрирует Colemak:

Однако современные раскладки обычно размещают букву O (четвёртую по частоте в английском языке) вне домашнего ряда, в колонке OA или OE:

Такое компактное размещение гласных называют гласным блоком. Идея в том, чтобы уменьшить количество пальцев, задействованных для гласных (обратите внимание, что гласные на Colemak занимают четыре пальца, а на Graphite — только три).
Хотя такой подход снижает использование домашнего ряда, он даёт несколько преимуществ:
- Согласные теперь можно распределить на большее количество пальцев, что идеально для оптимизации SFB и SFS. К тому же, OA и OE сами по себе вызывают низкое количество SFB.
- Все гласные можно разместить на одной руке (минимизируя длинные последовательности на одной руке и редиректы), при этом остаётся место для согласных на гласной руке, что улучшает роллинг. Таким образом, достигается наилучший компромисс.
10.2. Колонка OE
Колонка OE подходит, если мы не против высокой нагрузки на средний палец, чтобы снизить использование безымянного пальца. Минусы — несколько SFB (слова вроде people, someone, does) и множество SFS (слова вроде one, more, some, over, those, before). При этом все эти SFS имеют расстояние всего 1U и выполняются самым сильным пальцем.
Ниже приведены распространённые гласные блоки с колонкой OE. Каждый блок назван по парам гласных, которые делят колонку/палец:
UA OE YI

Идея этого блока — максимизировать внутрь-роллы (то есть движения от внешней стороны клавиатуры к внутренней).
- Размещая колонку UA на указательном пальце и колонку OE на среднем, биграммы OU (верхний ряд) и EA (домашний ряд) становятся внутренними роллами.
- Дополнительно, колонка YI на безымянном или мизинце делает биграммы IO, IE, IA внутренними, аналогично слову YOU.
OE UI A

В этом блоке мы жертвуем внутренними роллами: OU и EA становятся внешними.
Плюс в том, что согласные на руке гласных на указательном пальце позволяют более комфортно печатать триграммы. Например, сравните ION на Mtgap и Canary.
10.3. Колонка OA
Колонка OA имеет меньше SFB и SFS, чем колонка EO. Единственным недостатком является заметное увеличение использования безымянного пальца, так как часто получается OA или UE на безымянном пальце.
Несмотря на то, что буквы A и O используются примерно одинаково, в большинстве случаев на основной строке будет находиться A при использовании колонки OA. Это связано с тем, что, поскольку U уже находится на верхней строке (колонка UE), мы хотим разместить O рядом с U, чтобы OU образовывал раскат по одной строке.
OA UE I

Если буква Y находится на указательном пальце, колонка OA обычно располагается на среднем пальце, а UE — на безымянном. Таким образом, YOU печатается как трёхступенчатый ролл (3roll).
UE OA YI
YI на мизинце:

Поскольку буква Y была перемещена на мизинец, колонки OA и UE меняются пальцами по сравнению с предыдущей раскладкой. Таким образом, YOU по-прежнему печатается как трёхступенчатый ролл (3roll).
YI на безымянном:

Использование безымянного пальца теперь ниже (YI против OA/UE). Однако YOU становится редиректом. В этой раскладке колонка UE не на указательном пальце, так как это бы поставило букву E вместе со всеми знаками препинания (SFBs).
OA UI E

Колонка UE заменена на UI. Эта раскладка встречается реже, так как буква E (~12% использования) смещена на мизинец. В раскладках, нацеленных на in-rolls, колонки OA и UI меняются местами, чтобы биграмма OU стала in-roll.
10.4. Без OE или OA
В раскладках без вокальной колонки, буква O возвращается на домашний ряд, в то время как одна из основных гласных (обычно A или I) переносится на руку с согласными. В результате чередование уменьшается, а редиректы увеличиваются. С другой стороны, использование домашнего ряда увеличивается, так как O находится на нём.
В зависимости от расположения колонки A и YI существуют два основных варианта:
UE YI O

Сначала рассмотрим подход Colemak, где буква A находится на руке с согласными. Один из недостатков такой раскладки в том, что часто встречающиеся триграммы YOU и ION становятся редиректами.
UE A O

Альтернативно, буквы A и YI могут поменяться местами по сравнению с предыдущим вариантом. Это приводит к более высоким роллам и меньшему количеству редиректов (триграммы YOU и ION больше не являются редиректами). Недостаток — буква Y теперь находится на верхнем ряду на мизинце.
10.5. С колонкой U (очень редко)
Технически возможно создать раскладки, где буква U не делит палец с другой гласной. Вместо этого U будет сочетаться с определёнными согласными. Например, можно использовать мизинец WUV или VUK (см. Urts). Мизинец WUK будет хуже, так как слова вроде know или work создадут биграммы K_W и W_K как 2U skip-2-grams.

Хотя сочетание Y с U не вызывает SFB, оно создаёт Y_U same finger skip-1-gram в слове you. Поэтому пара YU встречается только в раскладках, разработанных без учёта SFS:

В любом случае, в 99% случаев буква U будет находиться в колонке UE, UA или UI.
10.6. Избегаем колонки UIY
Возьмём раскладку с блоком гласных YI OA UE:

Теперь допустим, что буквы E и YI поменялись пальцами:

С точки зрения SFB обе раскладки работают примерно одинаково. Однако набор часто встречающегося слова you на второй раскладке заметно менее удобен. Это происходит по двум причинам. Во-первых, биграмма YO становится «ножницами» (неприятная биграмма, где один палец двигается вверх, а другой вниз). Во-вторых, Y_U превращается в 2U SFS (наш средний палец должен перепрыгнуть через домашний ряд, чтобы перейти от Y к U, с буквой O между ними).
Перемещение UIY на мизинец проблему не решает, так как Y_U всё равно остаётся 2U:

Анализаторы, оптимизированные только под SFB, часто будут генерировать раскладки с колонкой YIU. Однако, как только мы начинаем учитывать SFS, анализатор больше не предложит колонку YIU, чтобы избежать прыжка Y_U длиной 2U.
10.7. SFB с пунктуацией
Нам нужно определить, какие буквы вызывают наименьшее количество SFB при совместном использовании с тремя основными знаками препинания (точка, запятая и апостроф).
Для получения этих данных использовался корпус TypeRacer. Буквы отсортированы по убыванию количества SFB и разделены на группы по цветам. Пороговые значения SFB следующие:
Тёмно-красный > 0.25% Красный > 0.09% Оранжевый > 0.05% Жёлтый > 0.03% Зелёный ~0.02% или меньше

Гласные + пунктуация
Как видно из данных SFB выше, E плохо сочетается с любой пунктуацией. Далее, I и U хорошо сочетаются как с точкой, так и с запятой, но не с апострофом. Наконец, A и O могут использоваться с любым из трёх основных знаков препинания (хотя A работает лучше).
Согласные + пунктуация
Большинство распространённых согласных вызывают SFB с пунктуацией. Наиболее значимые исключения для раскладок — это буква H, которая хорошо сочетается с апострофом, и C, которая может использоваться с любым из трёх основных знаков препинания.
Прочее
Точка может создавать SFB и SFS с несколькими другими клавишами:
- Конец абзаца становится SFB, если точка и Enter находятся на одном пальце.
- Заглавная буква (точка → пробел → Shift) становится SFS, если точка и Shift на одном пальце.
- Конец кавычек (.”) становится SFB, если точка и апостроф на одном пальце.
10.8. Примеры расположения пунктуации
Главный фактор, определяющий расположение пунктуации на раскладке — это её блок гласных. При UA OE YI вся пунктуация может располагаться на колонке UA (например, раскладка Heyyou). В качестве альтернативы апостроф может быть вынесен на другую колонку (например, Inrolly2, Mtgap). Заметьте, что апостроф на колонке OE (например, Mtgap) приводит к тому, что E → апостроф становится SFB, а O_' — 2U SFS в сокращениях типа you’ve или you’ll.

С блоком OE UI A точка или запятая размещаются на колонке UI, и мы получаем апостроф + A + запятая/точка на мизинце (например, Canary, Grephati). Некоторые раскладки могут найти другое место для апострофа, чтобы минимизировать движение мизинца (например, Trendei):

С блоком OA UE I базовый вариант — иметь мизинец для запятой + I + точки, а апостроф помещается на OA (например, Sntm). Если хотим уменьшить движение мизинца, апостроф можно разместить на H (например, Graphite) или на C (например, Whix), что позволит переместить точку или запятую на OA:

С блоком UE OA YI места для пунктуации меньше. В отличие от предыдущего случая, теперь нельзя без проблем разместить запятую и/или точку на мизинце I, так как это приведёт к SFB с Y. Один из способов избежать SFB с этим блоком гласных — использовать мизинец C + пунктуация (см. Rolly):

Хотя этот последний блок гласных обычно создаёт больше SFB с пунктуацией, он также является блоком, который может максимально уменьшить SFB и SFS для букв. Следовательно, его эффективность будет зависеть от того, насколько часто встречается пунктуация в выбранных корпусах текста.
10.9. Следует ли использовать указательный палец для согласных или гласных
На раскладках, где все гласные находятся на одной руке, важно решить, будет ли указательный палец этой руки использоваться для согласных или гласных.
10.9.1 Указательный палец для согласных

Следующие причины говорят в пользу использования указательного пальца для согласных:
- Если мы хотим увеличить количество роллов (rolling), необходимо разместить несколько часто встречающихся согласных на руке с гласными (например, NH + гласные, HML + гласные, NR + гласные и т.д.). Поскольку мы не хотим размещать такие колонки, как NH, на мизинце или безымянном пальце, их ставят на указательный палец.
- Указательные пальцы играют ключевую роль в раскладках, так как каждому назначено по шесть клавиш (вместо трёх). Если мы хотим минимизировать SFB и SFS, оптимально зарезервировать оба указательных пальца для согласных, так как существует много полезных комбинаций из шести согласных.
- Самый простой способ минимизировать ножницы (scissors) — разместить редкие согласные на нижнем ряду средним, безымянным и мизинцем (например, Canary). Такие раскладки неизбежно используют оба указательных пальца для согласных. Концентрация большего числа согласных на указательных пальцах также приводит к меньшему движению мизинца, хотя и увеличивает использование центрального столбца.
- Сравните два типа редиректов: мизинец → указательный → средний против мизинец → средний → безымянный. Редиректы второго типа, где указательный палец не используется, называются «слабыми» (weak redirects) и обычно считаются более сложными для печати.
Таким образом, если мы хотим минимизировать редиректы, набираемые мизинцем, безымянным и средним пальцем (т.е. слабые редиректы), достаточно разместить гласные на этих трёх пальцах. Это резко уменьшает количество слабых редиректов, так как триграммы, состоящие только из гласных, встречаются очень редко.10.9.2 Указательный палец для гласных

Следующие причины говорят в пользу использования указательного пальца для гласных:
- Если мы хотим разместить гласные на более сильных пальцах. Все блоки гласных на предыдущей странице неизбежно ставили одну гласную на мизинец, и большинство имели либо OA, либо UE на безымянном пальце (около 15% использования). Для сравнения, приведённые выше блоки позволяют использовать безымянные пальцы с YI или PN (около 9% использования), размещая гласные на указательном пальце.
- Если мы хотим использовать блок гласных IY OE UA. Смысл этой раскладки гласных — превратить OU и EA в in-rolls. Для этого требуется, чтобы согласные были на мизинце или безымянном пальце, так как средний и указательный пальцы нужны для колонок OE и UA соответственно. Блок IY OE UA также помогает снизить использование центрального столбца, но делает это ценой увеличения движения мизинца.
Хотя раскладки с указательным пальцем для гласных обеспечивают лучший баланс рук, это происходит за счёт того, что большинство согласных концентрируются на одной руке. В результате рука с согласными движется больше, чем рука с гласными, особенно в контекстах, где часто опускается пунктуация (например, в чатах, тестах набора текста и т.д.).
Ещё один недостаток размещения большинства согласных на одной руке — необходимость быть более осторожным, чтобы избежать неудобных вертикальных движений (т.е. scissors). Тем не менее, это можно решить грамотным распределением букв. Например, раскладка Mtgap хорошо справляется с этой задачей, тогда как Uciea — нет (сравните, как набираются биграммы LF, LD или LK в обеих раскладках).
10.10. Сводка по блокам гласных
Таблица и текстовое объяснение ниже служат сводкой по этой главе. В любом случае, основные блоки гласных:

Раскладки, в которых буква O остаётся на домашнем ряду (т.е. нет OA/OE), обеспечивают более высокое использование домашнего ряда, но не позволяют разместить все гласные на одной руке (что приводит к меньшей чередуемости и большему числу редиректов).
В раскладках с OA/OE использование указательного пальца для согласных помогает увеличить количество скатываний (rolling), а также снижает SFB, SFS, scissors, движение мизинца и слабые редиректы. Напротив, указательный палец для гласных ставит гласные на более сильные пальцы, помогает уменьшить использование центрального столбца и минимизировать out-rolls (особенно при сочетании блока UA OE YI с мизинцем H).
Что касается выбора между OA и OE: блоки гласных с OE имеют меньшую нагрузку на безымянный палец (например, UI, YI) за счёт большей нагрузки на средний палец, а также увеличенного количества SFB и SFS. Для сравнения, OA показывает лучшие результаты в этих аспектах, но часто требует более активного использования безымянного пальца (например, UE, OA).
11. Блоки согласных
11.1. Таблица колонок согласных
Ниже представлена таблица с наиболее значимыми колонками согласных. Эта таблица полезна при создании раскладки или для ознакомления с распространёнными сочетаниями букв (т.е. какие буквы часто объединяются для оптимизации SFB и SFS).
Если нужна помощь с пониманием таблицы, обратитесь к примечаниям на следующей странице.
| Pinky | Ring | Middle | Index | |
|---|---|---|---|---|
| T | (K | V)T | DT (B | M)TK |
| N | (B | P)N | PNB | HN(B |
| S | (V | F | B)S | FSV or BS(V |
| H | FH(K | ') | LH | HN(B |
| R | WR | (W | L)R | LR RN (may go on ring) LR(H |
| C | (W | Y)C WCG ,C.' | Some of the columns on the middle finger cell. | CS(V |
Таблица содержит только колонки букв для T, N, S, H, R и C, так как этого уже достаточно, чтобы учесть все уникальные колонки согласных в раскладках клавиатуры. Это связано с тем, что в 99% случаев остальные согласные будут делить колонку с одной из упомянутых букв. Например, буква D в большинстве раскладок идёт либо с T, либо с H, либо с C. Поэтому нет необходимости указывать колонки для D — они уже включены в строки для T, H и C.
Примечания к таблице:
- Для обозначения колонок букв используется формат: HN(B|M|L). Буквы вне скобок зафиксированы, а колонка дополняется одной из букв внутри скобок. В приведённом примере три варианта: HNB, HNM и HNL.
- Для колонок мизинца, безымянного и среднего пальцев первая буква идёт на верхнем ряду, затем домашний ряд и нижний ряд (например, HNB имеет H на верхнем ряду). Выбирается конфигурация с минимальным движением. Например, для LRH индексом в таблице будет показана R на домашнем ряду, так как размещение H на домашнем ряду (LHR) заметно увеличило бы движение.
- Предлагаемые колонки адаптированы к силе пальца. Колонка с большим движением, например HNL, может идти на среднем пальце, но не на безымянном или мизинце. Колонки с низким движением и без SFB (например, VSX, WCQ) подходят для мизинца. Колонки для безымянного пальца занимают промежуточное положение (например, LRJ, PNB).
- Для удобочитаемости буквы X, J, Q и Z в таблице опущены. Например, если для мизинца указаны только две буквы (WR), третью дополняем одной из X, J, Q или Z (WRX). То же самое применимо для пятибуквенных колонок (например, FNHPB индекс), где последнюю букву дополняем редкой.
11.2. Таблица блоков согласных
Для новичка таблица предыдущего раздела может показаться сложной. К счастью, существуют повторяющиеся паттерны согласных, которые значительно упрощают построение раскладки. Эти паттерны называются блоками согласных. Вместе с блоками гласных они служат фундаментом для создания раскладки.
Блоки согласных делятся на четыре основные группы: с NH-стеком, с RH-стеком, с RN-стеком или без стека согласных вообще. В таблице ниже каждая из этих групп соответствует отдельной строке. Внутри каждой группы блоки согласных подразделяются в зависимости от расположения буквы L (см. колонки таблицы). Например, раскладки с NH-стеком могут использовать колонку HNL или колонку LR. Для каждого блока согласных приведён пример раскладки в скобках.
| LH | LR | LN | LS | LT | |
|---|---|---|---|---|---|
| HN | WR + HNL (Colemak) | LR + HNB (Sturdy) LR + HNM (Canary) | WR + HNL (Colemak) | ||
| HR | FSV + LRH (Noctum) PNB + LRH (Sntm) | FSV + LRH (Noctum) PNB + LRH (Sntm) | |||
| RN | LH + RN (Whix2) RN + LHM (Recurva) | LS + RN (Pine) | LT + RN (Mir) | ||
| No HN/HR/RN | LHM + CS (Snorkle) | LR + CS (Graphite) | LN + CS (APT) LNM + CS (Hands Down Neu) | LT + CS (Mtgap) |
Как уже было показано в главе 10, большинство современных раскладок используют блоки гласных, которые компактно размещают гласные всего на трёх пальцах. В сочетании с NH/HR/RN стеком (первые три строки таблицы) это даёт возможность разделить S и C. В раскладках без NH/HR/RN стека (последняя строка таблицы) дополнительного пространства нет, поэтому требуется колонка SC.
В приведённой таблице некоторые ячейки оставлены пустыми. Это объясняется тем, что эти варианты практически не используются в раскладках:
- LN + HR или LS + NH/HR становятся избыточными из-за LR + NH, так как они не дают ничего уникального по сравнению с ним и при этом ухудшают показатели. В примерах раскладок ниже нет особой причины использовать что-либо, кроме LR + NH:
| LR + HN | LN + HR | LS + HN | LS + HR |
|---|---|---|---|
v l h k q j w o i ' s r n t p y c e u a z x m d b f g ; . , | v h l k q j w o i ' s r n t p y c e u a z x m d b f g ; . , | w l h v q j p o i ' r s n t b y c e u a z x m d k f g ; . , | b l h k q j w o i ' n s r t p y c e u a z x m d v f g ; . , |
- LR/N + RN оставлены чёрными, потому что это включает колонку RNL. Большинство раскладок избегают этого варианта, так как он приводит к большому движению пальцев (включая некоторые 2U SFB и SFS).
- Без NH/HR/RN, LS не используется, так как S резервируется для буквы C.
- Наконец, пара LT редко применяется в раскладках, так как она создаёт SFB LT и TL (обычно T — одна из букв, вызывающих наименьшее количество SFB в раскладках). Тем не менее, LT необходима в некоторых раскладках с внутренним вращением (Mir, Mtgap и др.). При поиске внутриротационных роллов NH оказывается контрпродуктивной. Поэтому LT + NH не используется. HR встречается только в форме колонки LHR, поэтому LT + HR также не используется.
11.3. Комбинирование блоков гласных и согласных
Используя блоки гласных из главы 10 и блоки согласных, рассмотренные ранее, можно строить раскладки клавиатуры проще. Вот пример пошагового построения раскладки:
-
Выберите блок гласных (сводка в разделе 10.10). Это также определит, как будет расставлена пунктуация. Например, выберем OA UE I:

-
Определите, какие основные согласные будут на руке с гласными. Как объяснено в разделах 8.4 и 8.5, это определяет, будет ли раскладка способствовать чередованию пальцев или роллам. Допустим, мы выбираем H (что даёт высокое чередование и при этом хорошие роллы):

-
Select a consonant pinky. Starting by the pinky will make it easier to later select a consonant block. Our main pinky options are N, S, H, R, C and T. Each has its pros and cons. Suppose we do not like repeats (e.g. SS) on the pinky and decide on N:

-
Выберите согласную для мизинца. Начав с мизинца, будет проще потом выбрать блок согласных. Основные варианты для мизинца: N, S, H, R, C и T. Каждый имеет свои плюсы и минусы. Предположим, мы не хотим повторов (например, SS) на мизинце и выбираем N:

- Выберите блок согласных (раздел 11.2) и заполните домашний ряд. С N на мизинце мы можем отбросить все блоки согласных, которые используют стеки NH или RN, так как такие колонки не подходят для мизинца. Оставшиеся варианты: использовать стек HR или не использовать никакой стек согласных (т.е. без NH/RN/HR). Допустим, мы выбираем второй вариант и используем блок LR + CS. Чаще всего колонка LR размещается на безымянном пальце. Это оставляет средний и указательный пальцы для букв T и S.

Ниже мы создаём три дополнительных примера раскладок, используя вышеописанные шаги:
- Выберите блок гласных. Сначала используем UA OE YI, затем UE OA YI и, наконец, OA UE I:

- Определите, какие основные согласные будут на руке с гласными. Для первой раскладки используем букву N, для второй — D, для третьей — H:

- Выберите согласную для мизинца. Для первой раскладки это R, затем S и, наконец, C:

- Выберите блок согласных и завершите домашний ряд. Для первой раскладки используем блок CS + LT, для второй — LR + HNB, для третьей — LS + RN:

- Завершите оставшиеся колонки с помощью таблицы колонок согласных (раздел 11.1). Ниже представлены возможные решения. Первая раскладка — Mtgap (зеркальная), вторая — Semimak JQ, третья — Pine:

11.4. Использование нижнего ряда на стороне согласных
Во многих раскладках клавиши нижнего ряда руки с гласными — средний, безымянный и мизинец — используются редко, так как на них часто располагаются знаки препинания или редкие буквы. Следовательно, количество вертикальных движений на стороне гласных низкое. Для сравнения, на стороне согласных движения более разнообразны.
Некоторые раскладки также минимизируют использование нижнего ряда (кроме клавиш для указательного пальца) на руке с согласными. Это делает ощущение обеих рук более сбалансированным. Более того, практически отсутствуют «ножницы» (scissors). Примеры конфигураций согласных для этой цели: LS/LH + RN (см. Pine или Whix2), DT + LR (см. Stronk) и другие. Обратите внимание, что выделенные клавиши зарезервированы только для редких букв:

Хотя приведённый выше подход отлично минимизирует вертикальные движения, его недостаток в том, что больше букв приходится размещать на указательных пальцах. Следовательно, нагрузка на указательные пальцы и использование центрального столбца увеличивается. Чтобы этого избежать, более часто используемые буквы следует размещать на нижнем ряду руки с согласными. Примеры таких раскладок: раскладки с блоком гласных YI OE UA (см. Heyyou) или раскладки с колонкой LRH (см. Noctum или Sntm):

Раскладки с этим вторым подходом потенциально создают больше «ножниц». Тем не менее, при грамотном размещении букв их количество можно удерживать на низком уровне, как показано на приведённых выше раскладках.
В оставшейся части этой главы мы подробнее анализируем различные блоки согласных.
11.5. Стэк HN
За исключением редких букв, наименее проблемными с точки зрения SFB при добавлении в колонку HN являются следующие буквы (по порядку): B, M, F, L и P. При этом некоторые из этих букв не могут находиться в одной колонке вместе. Например:
- P и B не должны делить колонку с L (иначе появляются SFB PL и BL)
- P и B не должны делить колонку с M (иначе появляются SFB MP и MB)
- F не должен идти вместе с L (SFB LF и FL)
Наиболее популярный способ избежать перечисленных SFB — использовать FNHPB на указательном пальце или аналогичное сочетание и сопоставить его с LR на безымянном или среднем пальце (см. раскладки Rolly и Sturdy). Альтернативой является FNHM на указательном (см. Canary). Вместо указательного пальца NH также может быть размещен на HNB на среднем пальце (см. Semimak) или HNM на среднем пальце (см. Dhorf и Trendy).
LR + HNB

LR + HNM

Каждая из этих конфигураций имеет свои плюсы и минусы. Например, HNB минимизирует количество SFS. Тем не менее, некоторые предпочитают HNM, так как концентрация большей части движений на сильном пальце упрощает размещение букв с меньшими движениями на других пальцах (например, на мизинце). Недостаток HNB: если LR и HNB находятся на соседних пальцах, частый биграм BL превращается в scissor (см. Semimak).
Сочетание LR + HNM (см. Dhorf) полностью решает эту проблему, так как scissor теперь образуется на ML, что значительно реже встречается. Конфигурация LR + YSV (см. Canary) также минимизирует ножницы, так как LV встречается редко. Аналогично, LR + WSG (см. Rolly) показывает хорошие показатели по scissors, так как GL встречается нечасто.
WR + HNL

Колонка HNL также возможна. Следует быть осторожным с её использованием, так как она легко может привести к большим движениям, если размещена на указательном пальце (см. LNHMK на Colemak). HNL также может вызвать ножницы (scissors), например биграммы ,L на Colemak или BL и LK на Uciea pcrw.
11.6. HR стек
Единственным хорошим вариантом с HR стеком является колонка HRL. В такой конфигурации буква R должна быть на домашнем ряду (иначе SFB RL в словах вроде world становится 2U). Колонка LRH может быть размещена либо на указательном, либо на среднем пальце. Сравнение:

С LRH на левом указательном пальце SFB LR становится удобным альтернативным пальцевым движением на стандартных клавиатурах (R — указательный, L — средний). То же самое относится к SFB RK и LK (R/L — средний, K — указательный). Кроме того, очень частая биграмма TH становится inward roll, а триграмма STR — 3roll.

С HRL на среднем пальце SFB RK и LK исчезают. Однако LR SFB уже не является удобным альтернативным движением, TH превращается в out-roll, а STR — в redirect. Кроме того, L на нижнем ряду средним пальцем часто вызывает ножницы.
По этим причинам LRH на указательном пальце обычно рассматривается как лучший вариант. Тем не менее, LRH можно сочетать с колонкой FSV или PNB. Из этих двух PNB менее универсальна, так как чаще вызывает scissors. Например, если PNB рядом с DTM колонкой, биграммы MP или MB станут ножницами (см. раскладку Santa). Однако сочетание FSV + DTM (см. Noctum) проблем не вызывает, так как ни F, ни V не образуют биграмм с M. Технически, в случае Noctum scissor теперь будет MB, но это менее проблематично, так как не затрагивает соседние пальцы. PNB также хуже, если расположена рядом с L, так как PL или BL становятся ножницами (см. Flow). В любом случае, такие проблемы можно избежать стратегическим размещением букв. Например, колонка PNB не вызывает ножницы при сочетании с колонкой DTK (см. Sntm).
FSV + LRH

PNB + LRH

11.7. RN stack
При использовании стека HN или HR мы ограничены в том, какие буквы можно сочетать с H. Например, буква D не вызывает SFB с H, но вызывает с N и R. Следовательно, если H находится в колонке HN или HR, мы больше не можем использовать пару HD.
Чтобы полностью воспользоваться сочетаниями H, необходимо разъединить H и R/N. Для этого мы можем объединить N и R вместе, в RN стек, вдали от H. Часто колонка RN дополняется редкими буквами (например, X, J, Q, Z), чтобы избежать 2U SFB и SFS с R. Некоторые колонки, которые становятся возможными при использовании RN стека: LHM на среднем или указательном пальце (см. Seht Drai, Recurva), LH на кольцевом пальце (см. Whix2), или H на указательных пальцах с D, Y или K (см. Pine, Kuntum, Saiga…).
LHM or LH + RN

LS + RN

LT + RN

Некоторые из этих согласных блоков отлично справляются с избеганием «ножниц», так как на нижнем ряду размещаются только редкие буквы (см. LS + RN в Pine или LH + RN в Whix2). Конфигурации, где более частые буквы попадают на нижний ряд, могут вводить несколько «ножниц» (например, RK в Recurva, MB в Saiga). Один из недостатков стека RN — обычно он увеличивает нагрузку на кольцевой палец (например, кольца LS или RN). Для сравнения, HRL приводит к меньшей нагрузке на кольцевой палец (FSV или PNB) за счет более частого использования нижнего ряда и возможных «ножниц». Так что у всего есть свои компромиссы. Наконец, пара LT, упомянутая выше, редко используется в макетах, так как вызывает значительные SFB; в основном LT встречается только в некоторых макетах с внутренними роллами
11.8. Без HN, HR или RN
Побочный эффект отсутствия любого из трёх стеков согласных заключается в том, что буква C неизбежно оказывается в колонке S. Это отличается от большинства макетов на предыдущих страницах. Колонка CS обычно дополняется одной или несколькими из букв: V, W, G или F.
В макетах без стека согласных, аналогично макетам со стеком RN, у нас есть большая свобода размещения букв в колонке H без значительных SFB.
LR + CS

LNM or LN + CS

LHM + CS

LT + CS

12. Раскладка с клавишами для большого пальца
12.1. Преимущества размещения буквы на большом пальце
Большинство клавиатурных макетов разрабатываются для стандартных клавиатур (например, ноутбучных), так как именно их чаще всего используют. Один из недостатков стандартных клавиатур заключается в том, что используется только один большой палец (тот, что нажимает пробел). Эргономичные клавиатуры часто решают эту проблему, вводя дополнительные клавиши для больших пальцев, что позволяет разместить букву на втором большом пальце.
Размещая букву на большом пальце, мы получаем ещё одно место на домашнем ряду. Например, ниже показаны две версии одного и того же макета: одна без клавиши для большого пальца и одна с буквой R на большом пальце. Видно, что буква H смещена с домашнего ряда в первой версии, но остаётся на нём во второй:
Клавиши для больших пальцев также снижают количество SFB и SFS в макете. Например, макет с клавишей на большом пальце позволяет использовать средний палец LH, что значительно улучшает ситуацию по сравнению с HRL в версии без большой клавиши (HRL создаёт SFB HR и LR, SFS H_R и L_R, а также делает H_L 2U). Кроме того, макеты с буквой на большом пальце проще избегают «ножниц» (например, LF и BL являются ножницами в версии без большой клавиши).
Клавиши для больших пальцев особенно полезны для макетов с индексом для гласных. Основной недостаток таких макетов в том, что на руке с согласными концентрируется слишком много букв. Частично это можно исправить с помощью клавиши для большого пальца, так как теперь буквы распределяются по пяти пальцам. Например, ниже показаны два макета с блоком гласных UA OE YI: один с клавишей для большого пальца и один без. Обратите внимание, что нагрузка на мизинец значительно ниже в версии с большой клавишей (мизинец WC против BNP). Также версия с R на большом пальце имеет заметно меньше SFS:
В итоге, на стандартных клавиатурах можно оптимизировать макеты лишь до определённого предела. Размещение буквы на большом пальце позволяет улучшить оптимизацию ещё сильнее.
12.2. На какой руке должна быть буква для большого пальца?
Если буква для большого пальца — гласная, её обычно помещают на руку с гласными. Если макет использует согласный для большого пальца, он перемещается на сторону согласных. Идея здесь в том, чтобы держать гласные вместе, чтобы избежать низкой чередуемости и высоких перенаправлений. Например, ниже показан стандартный макет и две его модификации с буквой на большом пальце:

Можно видеть, что буква для большого пальца меняет руку в зависимости от того, гласная она или согласная. В любом случае, каждая из модификаций имеет свои плюсы и минусы. Макет SturdE обеспечивает высокую чередуемость и меньшую нагрузку на безымянный и мизинец. В сравнении, Strand имеет более высокую чередуемость, меньшие SFS и меньше повторов с большим пальцем.
12.3. Какая буква должна быть на большом пальце?
Первой буквой, которую люди размещали на большом пальце, была E. Интуитивно понятно, что имеет смысл поместить самую частую букву английского языка на сильный палец, такой как большой. Например, именно так сделал макет Maltron в 1977 году:

Важный момент заключается в том, что быстрое двойное нажатие клавиши большим пальцем сложнее, чем другими пальцами. Следовательно, может быть разумно избегать размещения самых часто повторяющихся букв на большом пальце. Среди наиболее частых букв с повторами:
LL | SS | EE | OO | TT | RR | NN | II | AA | HH |
|---|---|---|---|---|---|---|---|---|---|
0.58 | 0.41 | 0.38 | 0.21 | 0.17 | 0.12 | 0.07 | 0.02 | 0.00 | 0.00 |
Другой аспект, на который можно обратить внимание — это способность каждой буквы сочетаться с другими, не вызывая SFB. Среди наиболее часто используемых согласных буква H показывает лучшие результаты в этом отношении, за ней следуют T, N, S и, наконец, R. Буквы с большим количеством безопасных сочетаний (например, H, T) лучше использовать на указательных пальцах, где их можно сочетать с пятью другими буквами. Напротив, буквы с плохими сочетаниями (например, R) идеально подходят для большого пальца, так как они будут одиноки и не вызовут SFB и SFS. Можно сказать, что буквы с отличными сочетаниями на большом пальце используются впустую.
12.4. Согласные на большом пальце
Если устраивают гласные блоки, показанные в главе 10, тогда можно оставить гласные без изменений и выделить большой палец для согласной. Большинство макетов с согласным на большом пальце будут иметь стек OA или OE, но больше не потребуют стеков HN, HR или RN.
В современных макетах буква R стала самой популярной для большого пальца. Ниже приведены несколько примеров. Они разделены на две группы в зависимости от того, используется ли согласный или гласный индекс на руке с гласными. Плюсы и минусы каждого подхода были объяснены в разделе 10.9.
С согласным индексом:

With a vowel index:

Также вполне возможно размещать на большом пальце буквы, отличные от R.
С согласным на указательном пальце:

With a vowel index:

12.5. Гласные на большом пальце
Все раскладки в предыдущем разделе использовали стек OE или OA. Если мы хотим вернуть букву O на основную строку, тогда на большом пальце можно разместить гласную. Ниже приведены примеры гласных блоков с гласной на большом пальце:

Буква E чаще всего использует большой палец, но при этом она же вызывает наибольшее количество повторов, за ней следует O. Напротив, A или I повторов не имеют.
Некоторые раскладки могут сохранять колонку OA или OE, даже если гласная находится на большом пальце:

13. Подгруппы раскладок
13.1. Классификация раскладок
Из-за большого количества раскладок очень сложно решить, какую из них изучать. Чтобы облегчить этот выбор, мы разделим раскладки на пять основных категорий:
- Colemak-подобные: самоочевидно.
- In-roll: раскладки, которые способствуют прокатыванию пальцев к центру клавиатуры.
- High roll - mid redirect: раскладки, которые увеличивают прокатывание без ущерба для редиректов.
- 3 roll: раскладки, которые хотят увеличить не только двухкратные (2-roll), но и трёхкратные (3-roll) прокатывания.
- Alternation: раскладки, которые делают акцент на чередовании рук, а не на прокатывании.
Внутри каждой категории раскладки далее подразделяются в зависимости от того, какие согласные размещены на руке с гласными. Например, раскладки high roll - mid redirect могут быть разделены на две основные подгруппы: NH + гласные и HML + гласные.
Эти подгруппы затем могут быть дополнительно разделены по домашней строке на стороне согласных. Например, упомянутая подгруппа NH + гласные имеет четыре возможные домашние строки: CRST, STRD, SRTD и SRTC.
Наконец, домашние строки можно классифицировать в зависимости от используемых колонок букв. Например, домашняя строка CRST ведёт к раскладкам с двойным стеком (колонка OE/OA + колонка NH) с C на мизинце, в то время как STRD, SRTD и SRTC ведут к раскладкам с C на указательном пальце.
В дальнейшем в документе каждой из пяти основных категорий будет посвящена отдельная глава. Там мы разберём, как строить каждую категорию раскладок и подчеркнём её преимущества. Кроме того, будут приведены многочисленные примеры раскладок для каждой категории, включая их статистику.
13.2. Статистика по раскладкам
При сравнении раскладок мы сначала показываем каждую раскладку в текстовом формате. Верхние согласные выделяются красным, гласные — зелёным. Буква C также выделяется (чёрным) из-за её важности в структуре раскладки. Пример:

После этого статистика собирается в таблицу, например:

Вы уже должны быть знакомы с большинством этих показателей. Статистика «in:out-roll» рассчитывается как отношение количества внутрь-роллов к количеству наружу-роллов в раскладке. Иными словами, она показывает, насколько раскладка способствует прокатыванию пальцев внутрь. Статистика «pinky off» показывает, как часто мизинец приходится отводить с домашнего ряда для нажатия клавиши на верхнем или нижнем ряду.
Если раскладка отлично показывает себя по какому-либо показателю, этот показатель будет отмечен зелёным. Если раскладка показывает средний результат — жёлтым. Если плохо — красным. Большинство показателей отображаются зелёным, когда они низкие (SFB, SFS, Scissors, Redir и Pinky off). Показатели alternation, rolls и in:out-roll, наоборот, зелёным будут, когда они высокие. Последний показатель — Hand usage — хуже, чем дальше он отклоняется от равномерного распределения.
Заметьте, что большое количество зелёных показателей не обязательно делает раскладку лучше другой. Это верно только если все показатели имеют одинаковую важность. На практике значимость каждого показателя зависит от пользователя. Например, если кто-то ценит высокий показатель чередования рук (alternation), он, вероятно, откажется от раскладок, которые плохо оптимизируют этот показатель. Другие могут сосредоточиться на прокатывании или показателе Pinky off. Кто-то предпочитает высокий коэффициент in:out-roll, а кто-то полностью игнорирует этот параметр. В любом случае минимальным требованием к раскладке является её достойное поведение по показателям SFB и SFS.
13.3. Как получалась статистика
Показатели SFB, SFS, alt, roll и redir были получены с помощью анализатора Genkey. Так как Genkey не даёт остальные показатели, они были получены из других источников. Показатель scissors (ножницы) получен с помощью keysolve. Показатели in:out-roll (то есть соотношение in-roll к out-roll) и использования рук получены из a200. Для показателя pinky off использовался простой инструмент, проверяющий частоту нажатий клавиш, которые каждая раскладка помещает на позиции мизинца верхнего и нижнего рядов.
Корпус текста, использованный со всеми анализаторами, был MonkeyRacer (сочетание цитат с MonkeyType, но с удалением дубликатов). Причина использования этого корпуса в том, что MonkeyType и TypeRacer — популярные сайты для печати текста. Особенность корпуса MonkeyRacer заключается в том, что пунктуация (точка, запятая и апостроф) играет большую роль, чем в других корпусах. Кроме того, поскольку наиболее частые английские слова сильно представлены в корпусе, буквы типа W и Y становятся более распространёнными..
13.4. Пороговые значения статистики
Для полной прозрачности в этом разделе указаны диапазоны, использованные для определения, к какой категории («низкая», «средняя» или «высокая») относится каждый показатель.
Показатели, которые нужно максимизировать (т.е. alternation, rolling и in:out-roll), можно назвать положительными. Для них использовался полный диапазон значений. Это означает, что мы проверяли минимальное и максимальное значение для каждого показателя и равномерно делили категории «Min» до «Max» по этому диапазону. Следует отметить, что крайние значения требуют ухудшения других важных показателей, таких как SFB, поэтому они были исключены.
В таблице ниже каждая ячейка указывает на верхнее значение для данной категории. Например, 38.3 для alternation относится к категории «Mid high», а всё, что выше — к «High» (до 41.2).
| Min | Very low | Low | Mid low | Mid | Mid high | High | Very high | Max | |
|---|---|---|---|---|---|---|---|---|---|
| Alt | 23.9 | 26.8 | 29.7 | 32.6 | 35.4 | 38.3 | 41.2 | 44.1 | 47 |
| Roll | 37.8 | 39.7 | 41.5 | 43.3 | 45.2 | 47 | 48.8 | 50.6 | 52.5 |
| In:out-roll | 0.8 | 1.2 | 1.7 | 2.1 | 2.6 | 3 | 3.5 | 3.9 | 4.4 |
Показатели, которые обычно стремятся минимизировать (т.е. SFB, SFS, Scissors, Redir и Pinky off), можно назвать отрицательными. Для них использовался ограниченный диапазон значений, чтобы категории оставались полезными. Например, хотя теоретически можно создать раскладку с SFB в 20%, такой уровень никогда не нужен. Недостаток использования ограниченного диапазона для этих показателей в том, что выбранные значения в некоторой степени субъективны. Тем не менее, большинство пользователей должно быть удовлетворено результатами при использовании этих диапазонов:
| Min | Very low | Low | Mid low | Mid | Mid high | High | Very high | Max | |
|---|---|---|---|---|---|---|---|---|---|
| SFB | 0.525 | 0.625 | 0.735 | 0.875 | 1.075 | 1.375 | – | – | – |
| SFS | 5.3 | 5.7 | 6.1 | 6.5 | 6.9 | 7.3 | – | – | – |
| Scissors | 0.1 | 0.15 | 0.25 | 0.35 | 0.45 | 0.55 | 0.7 | – | – |
| Redir | 2.8 | 3.6 | 4.5 | 5.4 | 6.2 | 7 | 9 | – | – |
| Pinky off | 1.8 | 2.7 | 3.5 | 4.3 | 5.2 | 5.9 | 6.8 | – | – |
Наконец, баланс рук считается равномерным до соотношения 52–48. При соотношении до 55–45 это считается смещением влево/вправо, а при более сильном смещении — сильным смещением влево/вправо.
13.5. Особенности баланса рук
Как уже объяснялось ранее, большинство современных раскладок размещают все гласные на одной руке. Это помогает минимизировать длинные последовательности одной рукой и редиректы, а также улучшает роллинг. Три основных символа пунктуации часто также располагаются на руке с гласными, так как гласные и пунктуация обычно делят один столбец. Совокупное использование гласных и пунктуации уже составляет примерно 40% нагрузки на этой руке.
Следствием этого является то, что в раскладках, где одна рука выделена для гласных, строгий баланс рук часто приводит к тому, что слишком много движений концентрируется на руке с согласными. Например:

Ещё один недостаток баланса рук заключается в том, что индексный палец руки с гласными может использоваться меньше, а более слабые пальцы несут дополнительную нагрузку. Например, на приведённой раскладке на левый индекс приходится только LR, при этом мизинец нагружен WNB, а безымянный палец — GSC.
Чтобы избежать подобных проблем, раскладки с гласными на одной руке часто делают более мягкий баланс рук, примерно 45–55 (например, Pine). Другие раскладки идут ещё дальше, как Sturdy, где соотношение 43–57:

14. Раскладки типа Colemak
14.1. Colemak
Colemak — это, по сути, «мейнстримная» альтернативная раскладка. Технически существует также Dvorak, но у Dvorak заметно выше SFB по сравнению с современными раскладками.

Colemak была разработана на основе нескольких ключевых принципов:
- Максимизация использования домашнего ряда.
- Концентрация нагрузки на индексных пальцах.
- Минимизация движений мизинца.
- Сосредоточение на роллинге.

Главная причина, почему статистика Colemak выглядит не впечатляюще, заключается в том, что раскладка была создана в 2006 году. С тех пор анализаторы клавиатурных раскладок значительно улучшились.
Кроме того, изменилось определение некоторых статистик. Например, биграмма io раньше всегда считалась роллом в Colemak. Сейчас есть больше нюансов: в слове radio io действительно считается роллом, но io часто встречается в триграмме ion, которая для Colemak является редиректом, а не роллом. Так можно увидеть, как введение концепции редиректа уменьшило количество роллов для Colemak.
Аналогично, концепция SFS не существовала во время создания Colemak, что объясняет её плохую производительность по этому показателю. Другие концепции, вроде SFB, даже если и существовали, были значительно оптимизированы с помощью современных анализаторов. В любом случае, Colemak остаётся очень популярной раскладкой и по сей день
14.2. Colemak-like схемы
14.2.1. Индекс HNLM + 4 гласные
Сначала рассмотрим раскладки, которые сохраняют колонки Colemak (т.е. индекс HNLM, кольцо WR и т.д.). Другими словами, приведённые ниже раскладки — это лёгкие модификации Colemak.
ARST
По сравнению со стандартным Colemak, все эти варианты перемещают H и D с центральной колонки. Дополнительно некоторые устраняют SFB E → запятая или SFB NK/KN. Наконец, ColemaQ F убирает SFS G_T.


14.2.2. Индекс FNHPB + 4 гласные
Индекс HNLM во всех предыдущих вариантах Colemak имеет проблему концентрации большого движения (т.е. расстояние SFB + SFS) на этом пальце. Здесь мы используем индекс FNHPB, при этом буква L перемещается на кольцо LR. Эти изменения имеют несколько преимуществ:
- Движение на правом указательном пальце значительно снижается.
- SFS в раскладке уменьшаются существенно.
- Улучшаются чередование пальцев, редиректы и баланс рук.
ARST / ARTS


ISRT / IRST
Следующие раскладки отличаются от Colemak более существенно. Они нацелены на улучшение SFB, SFS, скатываний и редиректов Colemak. Однако за это приходится идти на некоторые компромиссы — а именно, увеличивается нагрузка на мизинцы.


Основные изменения по сравнению с Colemak:
- Колонка IY перемещена на руку с согласными, вместо того чтобы там была буква A. В результате увеличивается количество скатов (rolls), а редиректы уменьшаются (триграммы YOU и ION больше не считаются редиректами). Недостаток — буква Y теперь на верхнем ряду мизинцем.
- Пунктуация больше не вызывает SFB, так как мы используем ,A на кольцевом пальце (что позволяет избежать 2U SFB Y → period в Colemak и SFB E → comma).
- Движение на правом указательном пальце значительно уменьшено благодаря использованию FNHPB вместо HNLM. Рекомендуется поставить P рядом с H (см. Irst) для улучшения PH.
- Другая конфигурация кольцевого и среднего пальцев. Например, Isrt использует CSV + LRW. Несмотря на то что LRW — колонка с высокой нагрузкой, она позволяет снять букву L с кольцевого пальца. Альтернативно можно использовать LR + CSG (Irst), если нужно оптимизировать SFS.
15. Раскладки с внутренним скатом (inward rotation)
15.1. In-rolls & out-rolls
- Внутренние скаты (in-rolls) идут к указательному пальцу. Например, в Qwerty DF (средний → указательный).
- Внешние скаты (out-rolls) идут к мизинцу. Например, в Qwerty FD (указательный → средний).
Некоторые предпочитают внутренние скаты внешним, другие не имеют предпочтений. Одним из аргументов в пользу in-rolls является то, что проще плавно катать пальцы по столу в направлении мизинец → кольцевой → средний → указательный, чем в обратную сторону.
При оптимизации для in-rolls есть ограничения на использование определённых домашних рядов (home rows). Например, ряд RSTH отлично подходит для in-rolls, а SHRT — нет. Также нужно избегать некоторых колонок букв. Например, популярная колонка NH перестаёт быть доступной. Ограничение колонок приводит к тому, что раскладки с in-rolls обычно имеют больше SFB.
Кроме того, больше букв смещается к углам мизинцев при предпочтении in-rolls. Из-за этого может быть разумно выбрать раскладку, жертвуя частью внутреннего ската, чтобы избежать чрезмерной нагрузки на мизинцы (например, мизинец PNB или буква E на мизинце).
В итоге, при проектировании раскладки с внутренним скатом приходится идти на компромиссы. Стоит ли отдавать приоритет in-rolls — субъективно.
15.2. Как располагать гласные для in-rolls
YI OE UA гласные блоки

Колонки OE и UA должны быть размещены на среднем и указательном пальцах соответственно, чтобы биграммы OU (на верхнем ряду) и EA (на домашнем ряду) были внутренними скатами (in-rolls). Более того, пунктуация на указательном пальце делает E → запятая/точка и I/E → апостроф также внутрь.
При такой конфигурации согласные на руке с гласными (например, H) должны быть на мизинце. Следовательно, эта расстановка гласных идеально подходит для согласных, которые катятся как согласная → гласная, так как размещение на мизинце делает их биграммы внутренними (например, скаты HE, HA, HI).
YI OA UE, I OA UE & E OA UI гласные блоки

На руке с гласными теперь указательный палец свободен для согласных (например, N и R). Следовательно, такая расстановка гласных идеально подходит для согласных, которые катятся как гласная → согласная, так как при размещении на указательном пальце их биграммы будут внутренними (например, скаты IN, AN, EN…).
Из трёх вышеописанных блоков гласных, третий обеспечивает наибольшую внутреннюю ротацию, поскольку только в нём биграммы OU и EA являются внутренними скатами. Однако этот блок требует разместить E (самую часто используемую букву в английском) на мизинце.
15.3. Как располагать согласные для внутренних скатов
В целом согласные распределяются примерно поровну по направлению со стороны гласных:
- биграммы согласная → гласная (например, NE) составляют 35.5% всех биграмм.
- биграммы гласная → согласная (например, EN) составляют 36.1% всех биграмм.
Тем не менее, есть несколько согласных, которые сильно предпочитают одно направление другому. На этих согласных мы сосредоточимся при проектировании макетов с внутренней ротацией.
15.3.1. Согласные на руке с гласными
В таблице ниже показано, какое направление предпочитает каждая согласная при взаимодействии с гласными (согласная → гласная vs гласная → согласная). Таблица отсортирована по коэффициенту, который рассчитывается как отношение первого столбца ко второму (большее число делится на меньшее).
Среди выделенных топ-согласных, H и N явно самые однонаправленные. Буква H лучше минимизирует внешние скаты (коэффициент 83.2), в то время как N обеспечивает больше внутренних скатов в целом (гласная → N составляет около 8% всех биграмм, а H → гласная — около 5%). Поскольку H и N катятся в противоположных направлениях, их идеальное расположение разное.
На руке с гласными:
- H следует разместить на мизинце (чтобы биграммы HE, HA, HI, HO были внутренними) и сочетать с блоком YI OE UA (так как этот блок оставляет мизинец свободным для H).
- N следует разместить на указательном пальце (чтобы биграммы IN, AN, ON, EN были внутренними) и сочетать с блоками YI OA UE, I OA UE или E OA UI (так как они освобождают указательный палец для N).
15.3.2. Согласные на руке с согласными
В таблице ниже показано, какое направление предпочитает каждая согласная при взаимодействии с остальными согласными (согласная → остальные vs остальные → согласная). Таблица отсортирована по четвертому столбцу (коэффициент):

И снова, среди топ-согласных, H и N являются самыми однонаправленными. Интересно, что направления, которые они предпочитают, поменялись по сравнению с предыдущей таблицей (например, раньше H катилось как H → гласная, а теперь как согласная → H). Поэтому предпочтительные позиции для H и N поменялись местами.
На руке с согласными:
- H следует разместить на указательном пальце, чтобы биграммы TH, CH, WH, SH, GH были внутренними.
- N следует разместить на мизинце (или безымянном), чтобы биграммы ND, NT, NG, NS, NC были внутренними.
Другие биграммы, которые желательно сделать внутренними, если возможно: ST, PR, CT, LY, LD, TR, RS, PL, MP, RY…
15.3.3. N и H на разных руках
Если мы хотим, чтобы внутренние скаты в раскладке были равномерно распределены между обеими руками, следует разместить N на одной руке, а H — на другой. В противном случае рука с обоими H и N будет гораздо эффективнее максимизировать внутренние скаты и минимизировать внешние, чем другая рука.
15.4. Избегаем колонки NH
Как мы уже установили, N и H катятся в противоположные стороны. Это значит, что если мы разместим их на одном пальце, станет невозможно оптимизировать внутренние скаты для обоих. Для наглядности приведем несколько примеров раскладок, которые игнорируют внутренние скаты:

Если мы хотим максимизировать внутренние скаты, то H и N следует разместить на разных пальцах следующим образом:

Как мы видим, для раскладок с внутренними скатами не следует использовать колонку NH. Обратите внимание, что в раскладках, где внутренняя ротация не учитывается, колонка NH будет очень популярным вариантом.
15.5. Коэффициент внутренних скатов
Показатель in-roll ratio показывает, насколько раскладка предпочитает внутренние скаты внешним. Для его расчёта просто делим процент внутренних скатов на процент внешних. Например, если в раскладке 38,5% внутренних скатов и 14,1% внешних, то коэффициент будет:
38,5 / 14,1 ≈ 2,7 внутренних ската на один внешний
Столбец in:out-roll показывает коэффициент для каждой раскладки:

Максимальное количество внутренних скатов имеют раскладки с высоким общим числом скатов при сохранении хорошего коэффициента in-roll. Например:

15.6. Внешние скаты и чередование
Не все триграммы в раскладке могут быть внутренними скатами. Значительная часть триграмм всё равно будет либо внешними скатами, либо чередованием. В зависимости от того, что мы хотим оптимизировать, получаем разные типы раскладок с внутренними скатами:
- Если хотим минимизировать внешние скаты, заменяем их чередованием. Это даёт раскладки с сильным чередованием, с самым высоким коэффициентом внутренних скатов (Hyperoll).
- Если хотим увеличить общее количество скатов, часть из них придётся сделать внешними. В результате получаем раскладку с большим количеством скатов, но с более низким коэффициентом внутренних скатов (например, Saiga).
15.7. Расположение клавиш для внутренних скатов
Для более детального анализа этих раскладок используйте Keysolve. Там можно получить тепловую карту раскладки, а также статистику растяжки и «ножниц». Инструкции по использованию Keysolve можно найти на странице GitHub Keysolve.
15.7.1. H + гласные
В этих раскладках H находится на руке с гласными, а N — на руке с согласными, обе на мизинцах. Они имеют одну стопку гласных (т.е. колонку OE/OA, но не NH/RH/RN). Кроме того, у них высокая чередуемость и среднее количество скатов.
NRST / NSRT / NRTS / RSNT…
Домашние ряды NRST и NSRT имеют наивысший коэффициент внутренних скатов (до 4,5). Однако при этом увеличивается нагрузка на мизинцы (например, PNB или PNV мизинец).


Если мы готовы пожертвовать частью внутренних скатов, то можно использовать и другие домашние ряды, например, NRTS или RSNT.
- В раскладке NRTS триграммы ST и CT становятся внешними скатами (out-rolls), см. пример Inrolly2.
- В раскладке RSNT триграммы NS и NC становятся внешними скатами, см. пример Hands Down Neu.
Выбор домашнего ряда влияет на то, какие конкретно биграммы будут внутренними, а какие — внешними скатами, поэтому при проектировании раскладки приходится балансировать между общим количеством внутренних скатов и нагрузкой на пальцы.


15.7.2. NR + гласные
В этих раскладках N + R находятся вместе с гласными, а H с согласными, все на указательных пальцах. У них двухуровневая структура (т.е. колонка OA + колонка RN) и высокий показатель роллов (следовательно, низкая альтернация).
CSTH
Домашний ряд CSTH (C на мизинце) является самым распространённым в этой подгруппе. Буква Y может быть на любой руке. На двух примерах ниже Y находится на руке с согласными:

Ниже представлены варианты, где Y перемещается с гласными. Однако это превращает биграмму RY (плюс BY в Inrolly) в аут-роллы:

У Mir наивысшее соотношение in-roll в этой группе (3,6), но для этого требуется E на мизинце и WCG на мизинце. В сравнении, Inrolly жертвует частью in-roll (коэффициент 2,2), чтобы уменьшить нагрузку на мизинцы (YI на мизинце и C + пунктуация на мизинце). Суть в том, что у каждого решения есть свои компромиссы.

STHC
Домашний ряд STHC (C на указательном пальце) жертвует частью in-roll в пользу снижения SFB и более стандартного мизинца (мизинец типа FS). Потеря во внутренней ротации возникает из-за того, что биграммы WH, CH, LD, GH и CT превращаются в аут-роллы.


Технически, в раскладках CSTH или STHC букву L можно переместить на левый указательный палец, чтобы создать колонку RNL. Однако это не рекомендуется, так как буквы R и L окажутся далеко друг от друга, создавая 2U SFB и SFS. В любом случае, вот пример такой раскладки:

15.7.3. N + гласные
По сравнению с предыдущей подгруппой буква R возвращается на руку с согласными. Таким образом, колонки NR больше нет, остается только гласная колонка (т.е. OA/OE).
RSTH
Домашний ряд RSTH — самый распространенный в этой подгруппе. Буква Y обычно находится на руке с гласными, но может быть и на руке с согласными (см. Apt v2.1). Аналогично, буква L меняет руку в зависимости от вариации.

Все эти раскладки — это небольшие вариации одной идеи. Все имеют WR на мизинце. Безымянный палец может быть CSV или CSG. На среднем пальце могут быть DTB, DTM, MTG или LTG. Для буквы Y можно использовать пары IY, HY или NY. На руке с гласными буква N может находиться либо на безымянном (Mtgap), либо на указательном (например, Apt). Размещение N на безымянном снижает нагрузку на этот палец и улучшает использование пунктуации, но делает тройки букв вроде ION и INI более сложными для набора.

TRSH
Домашний ряд TRSH жертвует частью внутрь-ротации (теряем in-rolls для ST и WH) в пользу дальнейшей оптимизации SFS. Кроме того, безымянный палец руки с согласными теперь имеет колонку LR (вместо CSV или CSG).


15.7.4. LRW + гласные
В отличие от всех предыдущих групп, в этих раскладках N и H находятся на одной руке. Это концентрирует больше in-rolls на этой стороне. Это раскладки с одной гласной колонкой (т.е. OA/OE).
NSTH
Домашний ряд NSTH — самый распространенный в этой подгруппе:

Руку с гласными можно изменить на IREA, что облегчает безымянный палец и улучшает использование пунктуации, ценой некоторых «слабых редиректов» (сравните WIR на Wreathy с Mtgap R).


Как уже объяснялось, для увеличения количества in-rolls потребуется разместить букву E на мизинце.
15.7.5. C + гласные
NSTH
Здесь мы сохраняем прежний домашний ряд NSTH, но теперь используем его для создания раскладки с высокой альтернацией (вместо высокой прокрутки). Кроме того, в отличие от предыдущих вариантов NSTH с одной колонкой, теперь нам нужны две (т.е. OE колонка + HR колонка), чтобы буква C могла находиться на домашнем ряду:


У раскладки Engram особенно низкое использование центральной колонки, но взамен высокое движение мизинца.
16. Раскладки с высокой прокруткой и средними редиректами
16.1. Прокрутки и редиректы
-
Прокрутка (Roll): нажатие двух клавиш одной рукой и одной клавиши другой рукой (например, DFJ в Qwerty).
Редирект (Redirect): триграмма одной рукой, в которой меняется направление (например, DFS в Qwerty).
Как правило, прокрутки считаются комфортным паттерном для руки, а редиректы — менее удобными. Поэтому желательно иметь высокое количество прокруток и низкое количество редиректов.
Проблема в том, что увеличение прокруток обычно приводит к увеличению редиректов. Тем не менее, хотя определённое количество редиректов неизбежно, их можно сильно уменьшить, грамотно спроектировав раскладку. В этой главе мы объясним, как это сделать.
Интересно, что домашние ряды, необходимые для высокой прокрутки/средних редиректов, противоречат тем, которые нужны для in-roll раскладок. Поэтому ни одна раскладка в этой главе не будет оптимизировать inward rotation. Фактически, их коэффициент in-roll обычно будет ниже 1.
16.2. Основы
Как объяснялось в разделе 8.7, любая раскладка, которая стремится минимизировать редиректы, должна следовать двум простым правилам:
- Все гласные должны быть на одной руке.
- Буква H также перемещается на сторону с гласными.
Кроме уменьшения редиректов, мы также хотим увеличить количество прокруток. Для этого нужно переместить ещё несколько согласных на руку с гласными, так как только H не даст достаточно прокруток.
Учитывая всё вышесказанное, вот пример раскладки с высокой прокруткой и средними редиректами. Мы видим настройку H + гласные, с добавленными согласными поверх H для увеличения прокруток:

Буква H, находящаяся на указательном пальце руки с гласными, неизбежно превращает все биграммы H + гласная (HE, HA, HI, HO) в out-rolls. Именно поэтому раскладки с высокой прокруткой и средними редиректами не оптимизируют inward rotation.
Лучшие настройки для высокой прокрутки/средних редиректов — это FHNB + гласные, FHMB + гласные и HML + гласные. Ещё один вариант — HRL + гласные, но последняя настройка имеет больше редиректов, чем предыдущие, из-за присутствия буквы R на стороне с гласными.
Как видно на примере Sturdy, согласные на стороне с гласными будут располагаться на указательном пальце, так как только на нём достаточно места для шести букв. Это оставляет средний, безымянный и мизинец этой же руки для гласных.
Помимо настройки руки с гласными, другой фактор, влияющий на количество редиректов в раскладке, — это домашний ряд на стороне согласных (например, STRD в Sturdy). Тем не менее, рука с согласными оказывает гораздо меньшее влияние на редиректы, чем рука с гласными. Поэтому мы можем организовать руку с согласными различными способами в зависимости от предпочтений, не сильно влияя на редиректы.
16.3. Настройки раскладок для высокой прокрутки и средних редиректов
Для получения дополнительной информации о приведённых ниже раскладках, прогоните их через веб-инструмент странице Keysolve на GitHub.
16.3.1. NH + гласные
Это самая популярная настройка для высокой прокрутки и средних редиректов. Помимо хороших показателей по прокруткам и редиректам, эти раскладки используют оптимизированные колонки букв и имеют низкий уровень «ножниц» (неудобные биграммы, включающие нажатие клавиши на верхнем ряду, а затем на нижнем, или наоборот). Единственный недостаток — плохой баланс рук
CRST
Это раскладки с двойным стеком (т.е. OA/OE колонка + NH колонка) с C на мизинце. Наличие C на мизинце позволяет использовать более традиционные варианты для указательного пальца. Однако обычно это происходит за счёт увеличенного движения мизинца.


STRD / SRTD / SRTC
Это всё ещё варианты с двойным стеком (т.е. OA/OE колонка + NH колонка). По сравнению с предыдущими раскладками, буква C перемещена на указательный палец. Это приводит к менее традиционным схемам для указательного пальца. С другой стороны, движение мизинца заметно меньше.

В раскладке Wave2 буква M нажимается средним пальцем, а не указательным (т.е. используется колонка DTMK).

16.3.2. HM или HML + гласные
Эта подгруппа раскладок показывает наилучшие результаты при высоком количестве роллов и низком количестве редиректов. Тем не менее, эти раскладки менее популярны, чем NH + гласные, из-за некоторых недостатков.
NRTS / RNTS
Варианты с одной гласной стекой (например, колонка OA/OE).


Недостаток этих раскладок заключается в том, что большое количество SFB сосредоточено на левом указательном пальце (SC, YS, WS, GS…), что приводит к высокой нагрузке на этот палец. У раскладок NH + гласные из предыдущего раздела такой проблемы не было, но их баланс рук был более неравномерным.
Примечание: правый указательный палец в раскладке Flame может показаться странным некоторым пользователям, так как буква H находится вне домашнего ряда, в пользу L. Это сделано для минимизации расстояния при FL и LF SFB.
SNTC / SNTD / STND
Эти раскладки устраняют проблему высокой нагрузки на левый указательный палец, но имеют менее стандартный домашний ряд и повышенную нагрузку на безымянный палец. Кроме того, в то время как раскладки на предыдущей странице имели только гласную стеку, эти являются вариантами с двойной стекой (например, колонка OA + колонка RN).


16.3.3. LRH + гласные
Эти раскладки немного лучше оптимизируют роллы по сравнению с предыдущими. Однако с увеличением роллов также растет количество редиректов. Тем не менее, их всё же включили, так как они демонстрируют оставшийся способ получения высоких роллов при использовании раскладки H + гласные. Основной недостаток LRH + гласные — заметное снижение чередования.
SNTM / NSTM / NSTD
Варианты с двойной стекой (например, колонка OA + колонка RH) с C на указательном пальце.

В раскладках Sntm и Fudge SFB MY скорее всего будет выполняться альтернативными пальцами (M — средний, Y — указательный).

В раскладке Fudge колонка OA расположена на безымянном пальце, так как это приводит к меньшему количеству редиректов. Для сравнения, Sntm предпочитает пожертвовать немного редиректов, чтобы убрать OA с безымянного пальца.
16.4. Оптимизация пробела для большого пальца
То, каким большим пальцем нажимается пробел, может существенно влиять на статистику alternation, roll, onehand и redirect. В следующих разделах мы разберём, почему это так.
16.4.1. Триграммы с пробелом
Здесь рассматриваются триграммы, включающие пробел. Другими словами, триграммы, начинающиеся с пробела (например, [ th]), с пробелом посередине (например, [e t]) или заканчивающиеся пробелом (например, [he ]).
В таблице ниже показаны 30 наиболее частых триграмм с пробелом из корпуса цитат MonkeyType. Число рядом с каждой триграммой указывает её частоту в процентах (например, [ th] составляет 1.780% от всех триграмм).

Вы можете найти полный список [здесь] (он основан на MonkeyType по состоянию на 3 октября 2022 года).
Не должно удивлять, что триграммы с пробелом встречаются очень часто, так как пробел, пожалуй, самый распространённый символ. Фактически, триграммы, включающие пробел, составляют примерно половину всех триграмм (точнее, 55.6% в корпусе цитат MonkeyType).
По этой причине статистика раскладок будет сильно различаться в зависимости от того, учитываем мы пробел или нет. При публикации статистики для раскладок клавиатуры обычно приводят значения без учёта пробела. В противном случае статистику пришлось бы давать дважды (для пробела большим пальцем правой и левой руки).
16.4.2. Как работают роллы и редиректы с участием пробела
Роллы с пробелом и без него принципиально отличаются. Последовательность, которая является роллом без учёта пробела, может перестать быть роллом, если включить пробел. Рассмотрим APT:

Без учёта пробела TH считается роллом. Если использовать правый большой палец для пробела при анализе, space → TH всё ещё будет роллом (space одной рукой, TH другой). Однако с левым большим пальцем space → TH теперь будет редиректом (space → T — наружный, но T → H — внутренний).
Ниже приведены статистики APT с использованием каждого большого пальца, с помощью a200 analyzerhttps://github.com/Apsu/200-analyzer):

Интересно, что в APT мы не можем снизить количество редиректов независимо от того, какой палец используется. Это частично связано с тем, что большой палец на стороне согласных превращает space → TH (самую частую триграмму с пробелом) в редирект. В то время как большой палец на стороне гласных обычно приводит к тому, что многие триграммы с пробелом становятся альтернативами или редиректами, независимо от раскладки.
Решение — переместить букву H на руку с гласными (как мы делали во всех предыдущих примерах раскладок с высоким роллом/средним редиректом). Тогда мы можем использовать большой палец на стороне согласных для пробела, без того чтобы space → TH был редиректом.
Технически, сделав TH внешним роллом, становится возможным разместить T, H и пробел на одной руке без того, чтобы space → TH был редиректом. Например, если T находится на указательном, а H — на среднем пальце, то space → T → H будет 3-roll.
16.4.3. Пример анализа триграмм с пробелом в раскладке
Наибольшие различия в статистике в зависимости от того, какой палец используется для пробела, наблюдаются в раскладках NH + гласные. Например:

Давайте рассмотрим топ-30 триграмм с пробелом и посмотрим, как они будут печататься на раскладке Canary в зависимости от того, используем ли мы для пробела большой палец на стороне согласных или на стороне гласных:

Мы можем видеть, что большой палец для пробела оказывает гораздо большее влияние, чем можно было ожидать. С большим пальцем на стороне согласных мы получаем в основном роллы. Между тем, при использовании большого пальца на стороне гласных количество роллов резко падает. Чтобы подтвердить приведённые выше результаты, ниже приведены статистики раскладки Canary с помощью a200 (используются все триграммы с пробелом, а не только топ-30):

16.4.4. a200 анализатор
Как правило (;p), использование пробела на стороне согласных приводит к большему количеству роллов. Тем не менее, если мы хотим проверить статистику большого пальца для конкретной раскладки, можно воспользоваться анализатором a200.
16.4.5. Баланс рук и пробел
Большинство раскладок имеют более высокое использование руки с гласными. Это связано с тем, что гласные и пунктуация уже составляют около 40% использования, а добавление нескольких согласных сверху легко может довести использование этой руки до 55% и выше.
Если рука с гласными используется больше, логично, что использование большого пальца на стороне согласных для пробела будет полезно для баланса, тогда как использование большого пальца на стороне гласных только усугубит проблему.
Раскладка Canary прекрасно иллюстрирует эту ситуацию. Если не учитывать пробел, распределение использования рук составляет 42-58%. Клавиша пробела используется около 18,5%. Чтобы получить распределение с учётом пробела, мы просто добавляем 9,25% к руке с пробелом и вычитаем 9,25% с другой руки. Таким образом, Canary будет иметь 33-67 при правом большом пальце для пробела и 51-49 при левом большом пальце!
16.4.6. Сохранение текущего большого пальца для пробела
Большинство людей не хотят менять палец, которым они всегда пользовались для пробела. Представьте кого-то, кто уже использует правый большой палец для пробела. Если они хотят выучить новую раскладку, и так получается, что “идеальный” палец для неё — левый, они вряд ли его поменяют.
Решением может быть выбор раскладки, у которой гласные расположены на противоположной руке относительно текущего большого пальца. Таким образом, мы уже будем использовать “идеальный” палец. Альтернативно, можно отразить раскладку (поменять руки гласных и согласных), чтобы достичь того же эффекта.
Тем не менее, выбирать раскладку исходя из того, какой палец используется для пробела, — достаточно спорная практика. Если палец, которым вы всегда пользовались, совпадает с “идеальным” для выбранной раскладки — отлично. Если нет, этот аспект часто игнорируется.**
17. 3roll раскладки
3ролл состоит из нажатия трёх клавиш одной рукой в одном направлении (например, Qwerty SDF). Чтобы максимизировать количество 3роллов, необходимо разделить гласные (обычно 3 на одной руке и 2 на другой), чтобы ключевые триграммы, такие как THE, ING, AND, HER или ION, стали 3роллами.
17.2. схемы раскладок для 3rolls
SEHT / REHT / INTS
Здесь представлен двойной стек с C на указательном пальце (Seht Drai) и два варианта с одним стеком гласных (Ints и Snorkle):

Большинство раскладок имеют от 2 до 4% 3роллов, эти раскладки достигают до 10%. Таким образом, если учитывать и 2роллы, и 3роллы, этот стиль раскладки имеет наибольшее общее количество роллов. При этом они имеют наименьший уровень чередования.**

Ints показывает лучшие показатели по inward-роллам, чем можно было бы ожидать по показателю in-roll ratio выше. Это связано с тем, что Ints имеет много inward 3роллов (статистика in:out roll основана только на 2роллах). В любом случае, основные inward 3роллы на Ints следующие:
- Левая рука: HER, FOR, OUR, OUL, HOU
- Правая рука: ING, IND, INT, INK, ITY, INS
18. Раскладки с высоким чередованием
18.1. Чередование
Чередование состоит в том, что нажимается клавиша одной рукой, затем клавиша противоположной рукой, затем снова первая рука. Преимущество чередования заключается в том, что печать ощущается ритмичной и минимизируются неудобные длинные последовательности на одной руке. Недостаток — количество роллов будет ниже.
Чтобы достичь высокого чередования, все гласные размещаются на одной руке, а также сочетаются только с определёнными согласными. В таблице ниже показано, какие раскладки гласных ведут к роллам или чередованию:

Обратите внимание, что приведённое выше — это упрощение. Возможно достичь высокого количества роллов даже с буквой H на стороне гласных. Для этого достаточно добавить определённые буквы поверх H (например, NH + гласные, HML + гласные, LRH + гласные…).
18.2. Расположение клавиш для высокого чередования
Для получения дополнительной информации о раскладках ниже, используйте веб-инструмент Keysolve. Так вы получите красивую тепловую карту раскладки, а также статистику по боковому растяжению и «ножницам». Если вам нужна помощь с Keysolve, её можно найти на странице Keysolve на GitHub.
18.2.1. H + гласные
Это самая популярная раскладка с высоким чередованием. Раскладки H + гласные лучше всего подходят для максимизации чередования при одновременном минимизации редиректов. Большинство из них имеют один стек гласных (т.е. колонка OA/OE).
NRTS / NRST
Среди современных раскладок, NRTS — самая популярная раскладка с высоким чередованием на основной строке. Следующие раскладки представляют собой незначительные вариации одной и той же идеи:


По сравнению с предыдущими раскладками, буквы T и S теперь меняют пальцы:

В раскладке Enigmak буква G нажимается средним пальцем, а не указательным (колонка CSGQ).

CSNT
Здесь представлен вариант с двойным стеком (т.е. колонка OA + колонка RN) с C на мизинце:


18.2.2. C + гласные
По сравнению с семейством H + гласные, раскладки C + гласные хуже минимизируют редиректы, но могут достичь более низких SFB. Эти раскладки используют два стека (т.е. колонка OA/OE + колонка HN/RN/HR) и «C на указательном». Это означает, что указательный палец сочетает букву C с согласными вроде Y, W, G, P… Такие раскладки дают абсолютно минимальные SFB. Этот подход даёт большую свободу для расположения основной строки различными способами.
SRNT / SRHT / SRTN / STRN (колонка NH)

В раскладке Wave буква M нажимается средним пальцем, а не указательным (т.е. колонка DTMK).

NSTR / SNTR / NSRT / SNRT (LHR column)
Вариации с колонкой LRH.


SHRT / SNHT / SNTH / HSNT (RN column)
Вариации с колонкой RN


RSNT / SNRT
В отличие от всех предыдущих C + гласная раскладок, здесь буква C расположена на мизинце, а не на указательном пальце.


18.2.3. S + гласные
Большинство раскладок с высокой чередуемостью — это либо H + гласная, либо C + гласная. Тем не менее, можно достичь приличной чередуемости и с S + гласные. Ниже приведены несколько примеров.
Ниже показаны варианты с двойным стеком (т.е. колонка OA + HN).

А здесь приведены два варианта с одним стеком гласных (т.е. есть колонка OA, но нет HN):


18.2.4 T + гласные
Эта раскладка максимизирует чередуемость. Однако, в то время как большинство раскладок с высокой чередуемостью имеют низкий уровень редиректов, T + гласные этого не делает. Это делает её весьма нишевым решением по сравнению с другими вариантами высокой чередуемости. Тем не менее, вот несколько примеров:


18.2.5. Другое
Другой вариант с 2 стеками + колонкой U


19. Анализ колонок клавиатуры
19.1 Информация для каждой согласной
19.1.1. Пары
Если мы добавим биграмму CR (0.149%) и биграмму RC (0.121%), мы получим пару RC (0.27%). Польза пар заключается в том, что они показывают процент SFB, возникающий при расположении двух букв в одной колонке (т.е. на одном и том же пальце).
Для каждой согласной мы будем перечислять её пары (исключая пары с X, J, Q, Z и гласными). Кроме того, пары будут разделены на четыре категории в зависимости от процента SFB. Например, ниже приведены пары для буквы H:

В качестве общего правила, розовая колонка — это пары, которых следует избегать. Жёлтые пары вполне допустимы, но могли бы быть лучше. Наконец, синие и зелёные пары — самые оптимальные.
Буквы, у которых много минимальных SFB-пар (например, T, H, D, C), особенно полезны для создания колонок для указательных пальцев. Это связано с тем, что на указательных пальцах происходит гораздо больше взаимодействий между буквами (каждому указательному пальцу назначено шесть букв, а не три, как другим пальцам).
19.1.2. SFB Пороги
Корпус, использованный для составления вышеуказанных таблиц, был Norvig. Зелёная колонка включает пары до 0.040% SFB. Синяя колонка — для пар до 0.070%, а жёлтая — до 0.178%. Пары выше 0.178% отмечены розовым. Последний порог выбран так, чтобы пара SC (необходимая во многих раскладках) всё ещё попадала в выборку на Norvig, а пары вроде BY или YO (которые раскладки избегают) — нет.
19.1.3. Колонки
После того как мы перечислили пары букв и их процент SFB для данной согласной, мы затем перечислим её наиболее релевантные колонки букв. Снова используем букву H в качестве примера:

Если вы читали главу 11, вам уже должен быть знаком этот формат. Тем не менее, ниже даются пояснения.
Примечания к таблице
Для обозначения колонок букв используется следующий формат: HN(B|M|L). Буквы вне скобок фиксированы. Затем мы дополняем колонку одной из опций внутри скобок. Таким образом, в данном случае есть три варианта: HNB, HNM и HNL.
Для колонок для мизинца, безымянного и среднего пальцев первая указанная буква будет символом верхнего ряда, затем домашний ряд и, наконец, нижний ряд (например, HNB имеет H на верхнем ряду). Мы используем конфигурацию, которая приводит к наименьшему движению. Например, для LRH указательного пальца таблица покажет R на домашнем ряду, так как размещение H на домашнем ряду (т.е. LHR) заметно увеличило бы движение.
Рекомендованные колонки адаптированы под силу пальца. Например, колонка с большим движением, как HNL, может использоваться на среднем пальце, но не на безымянном или мизинце. Колонки с малым движением и отсутствием SFB (например, FHK, FH') подходят для мизинца. Колонки для безымянного пальца будут где-то посередине (например, LHQ).
Для удобочитаемости буквы X, J, Q и Z опущены в таблице. Например, если таблица указывает только две буквы (например, LH безымянный) в месте, где должно быть три буквы, это значит, что колонку нужно дополнить одной из редких букв X, J, Q или Z (например, LHQ). То же самое касается, например, FNHPB для указательного пальца — это пять букв, поэтому колонку нужно дополнить одной редкой буквой.
19.1.4. Дистанции
После перечисления частых колонок для данной согласной будут таблицы, показывающие движение (SFB + SFS дистанция) для каждой колонки с использованием анализатора Genkey и корпуса MonkeyType + Typeracer (Norvig содержит только биграммы, без реального текста, поэтому для этого не подходит).
Числа будут нормализованы, то есть движение для каждой колонки делится на её использование. Это позволяет выявить, когда колонка плохо оптимизирует движение. Например, колонка LRW едва ли оптимальна, потому что, несмотря на значительно меньшее использование по сравнению с HNM, движение всё равно выше.
Для отображения количества движения в колонке будет использоваться следующая цветовая кодировка, от меньшего к большему: зелёный → жёлтый → оранжевый → красный → тёмно-красный. Обратите внимание, что в зависимости от пальца одно и то же значение будет отображаться разным цветом. Например, колонка с движением 0.4 будет зелёной на среднем пальце, так как сильный палец легко справляется с этим, но на безымянном — оранжевой, а на мизинце — красной.

Как и в предыдущих таблицах, буквы X, J, Q и Z опущены для удобочитаемости.
В таблицах для мизинца, безымянного и среднего пальцев первая буква колонки указывает символ верхнего ряда, затем домашний ряд и, наконец, нижний ряд (например, HNB имеет H на верхнем ряду).
Таблицы для указательных пальцев устроены иначе. В них буквы, которые встречаются на нескольких рядах таблицы, выровнены по одной вертикальной линии. Например, если присмотреться, можно увидеть, что буквы в левой таблице выровнены так же, как в правой:

Таким образом, мы можем легко сравнивать, какие буквы совпадают (а какие — нет) между двумя указательными пальцами. Например, указательные пальцы в Canary и Colemak DH имеют общие буквы H, N и M. Однако различие в том, что в Canary добавляется F, а в Colemak — L и K.
19.2. Движение на указательном пальце vs других пальцах
Три буквы, которые мы помещаем на мизинец, безымянный и средний пальцы, неизбежно должны располагаться одна над другой. Однако для указательного пальца возможно перемещать буквы в центральную колонку. Благодаря этому колонка может иметь меньшее движение просто за счёт того, что находится на указательном. Например, возьмём колонку LRW в обеих раскладках ниже:

В Isrt буквы L и W находятся далеко друг от друга. В сравнении, в Wreathy L и W теперь ближе друг к другу, что снижает общее движение на этом пальце.
19.3. Колонки с высоким движением и альтернативное нажатие
Когда мы говорим, что колонка имеет высокое движение, мы предполагаем, что клавиши в этой колонке нажимаются только предназначенным для них пальцем. Иными словами, потенциальные альтернативные нажатия не учитываются.
Как объяснялось в главе 5, альтернативное нажатие (alt fingering) означает нажатие клавиши другим пальцем, чтобы избежать SFB. Обычно это заключается в том, что клавиша указательного пальца нажимается средним пальцем, а клавиша центральной колонки — указательным. Например, рассмотрим эту раскладку:

Левый указательный LRHK в Noctum имеет высокое движение, так как концентрирует несколько SFB. Однако раскладка спроектирована так, чтобы RL, RK и LK SFB можно было удобно нажимать альтернативным пальцем. Чтобы напечатать RL, нажимаем R указательным и L средним пальцем. Для RK и LK — R/L средним, K указательным.
Таким образом, если мы не против альтернативного нажатия, высокая нагрузка на указательный не обязательно проблема, так как её можно решить альтернативным нажатием SFB. Напротив, если мы предпочитаем печатать стандартно, то лучше избегать колонок с высоким движением. Для пальцев кроме указательного альтернативное нажатие менее удобно.
19.4. Колонки для указательного пальца
19.4.1. Стандартное нажатие
Большинство колонок для указательного пальца будут содержать хотя бы один редкий символ (например, X, J, Q, Z или, если их нет, хотя бы K, V или апостроф). На это есть две причины.
Во‑первых, мы не хотим, чтобы один палец имел слишком большое движение (т.е. суммарное расстояние SFB + SFS). Естественно, указательные пальцы подвержены этому больше всего, так как на них назначено шесть клавиш. Поэтому, если некоторые буквы на указательном уже создают достаточно движения, оставшиеся клавиши можно выделить для редких символов. Пример: LRNXJQ. С L, R и N на одном пальце мы дополняем колонку XJQ.
Вторая причина — раскладка может резервировать редкую букву для каждого указательного пальца для позиции B в Qwerty (левый указательный) и позиции Y в Qwerty (правый указательный), так как эти клавиши находятся дальше всего от позиции покоя указательного пальца. Они отмечены красным X ниже:

Таким образом, например, если у нас есть колонка DTMGKJ на одном указательном и FNHPBZ на другом, Z и J естественно окажутся на выделенных красным местах:

19.4.2. Угол наклона (angle mod) для нажатия
С использованием angle mod мы получаем одну удобную клавишу для левого указательного пальца. Теперь видно семь оранжевых клавиш, тогда как раньше было шесть. Опять же, клавиши B/Y в Qwerty отмечены красным X:

Эта дополнительная клавиша для указательного пальца особенно полезна в раскладках, где левый указательный используется как C-указательный (т.е. указательный палец, который сочетает C с некоторыми из D, Y, M, W, F, G, P, B, V или апостроф). Вот несколько примеров:

Раскладки с левыми указательными пальцами такого типа лучше подходят для angle mod. Если убрать угол наклона в вышеуказанных раскладках, получится следующее:

В Sturdy буква W теперь находится в менее удобном положении, так как она теперь отнесена к позиции B в Qwerty. То же самое относится к букве V в Snug или P в Trendy.
19.5. Основные согласные
Буква T
Ниже приведены все пары для T (исключая X, J, Q, Z и гласные):

Ниже приведена таблица, обобщающая основные колонки для буквы T:

В большинстве раскладок T располагается на указательном пальце, так как это позволяет получить указательный палец с высоким использованием при низком проценте SFB. Указательные пальцы с T можно разделить на схемы DTM или DTPB (идеально, если M и P/B не будут на одном пальце, чтобы избежать SFB MP и MB). Если T не на указательном, она часто оказывается на среднем пальце и сочетается с двумя из D, M или K (например, DTM, DTK или MTK).
Существуют несколько домашних рядов, где T располагается на безымянном пальце, чтобы распространенный триграмм STR был 3roll, а не превращался в redirect (например, домашние ряды STRD или STRN). Редко T встречается на мизинце (например, KT, VT) как колонка с высоким использованием и низким движением.
Примечание: несмотря на снижение SFB, пара GT заметно увеличивает SFS (глагол get становится SFS, так же как и распространенный триграмм ght, и межсловные скипграмы вроде going to…). Поэтому, если мы хотим избежать этих SFS, следует размещать G с S или на C-указательном, вместо того чтобы сочетать с T.

Буква N
Ниже показаны все пары с N (за исключением X, J, Q, Z и гласных):

Таблица ниже обобщает основные колонки для буквы N:

Пара HN широко используется в раскладках, так как позволяет создавать колонки с высоким использованием при низком или среднем уровне движения. Популярный пример — индекс FNHPB (который можно модифицировать для других вариантов, например, FNHM или FNHPY). Помимо указательного пальца, NH также часто встречается на среднем пальце (например, HNB, HNM, HNL).
Существуют случаи, когда пара NH избегается в пользу других вариантов:
- На слабых пальцах используются колонки с меньшей нагрузкой. Например, на мизинце можно использовать BN или PN. На безымянном пальце можно использовать обе и создать колонку PNB.
- N может также появляться в колонках вроде RN на среднем/безымянном пальце или LNM на среднем.
- В раскладках, оптимизированных под in-rolls, становится необходимым разделять H и N. In-roll раскладки, где N остаётся на руке согласных, обычно ставят её на мизинец (чтобы биграммы ND, NT, NG, NS и NC были inward). В то же время in-roll раскладки, которые перемещают N с гласными, ставят её на указательный палец (чтобы биграммы IN, AN, ON и EN были inward).

Буква S
Ниже показаны все пары с S (за исключением X, J, Q, Z и гласных):

Таблица ниже обобщает основные колонки для буквы S:

Многие раскладки используют пару SC, несмотря на то, что она создаёт SFB в некоторых часто встречающихся словах (например, school, screen или science). Причина в том, что буква C не может находиться на том же пальце, что и T, N, R или H (высокие SFB). Поэтому, если C должна делить колонку с одной из основных согласных, буква S является единственным хорошим вариантом (например, CSG на среднем пальце, CSGVW на указательном и т.д.).
Используя две стопки (т.е. колонку OA/OE плюс колонку HN/HR/RN), становится возможным разъединить C и S. Это открывает новые возможности, например, сделать VS или FS на мизинце (часто встречается в раскладках с минимальными SFB). Альтернативно, можно сделать кольцевые пальцы с меньшим движением, например, FSV. Для чуть большего движения можно включить G (например, GSV) или даже Y (например, YSV). Кроме того, становится возможным использование блока согласных LS + RN. Что касается буквы C, теперь её можно сочетать с другими умеренно частыми согласными (например, D, W, G, Y…), а не с S.

Буква H
Ниже показаны все пары с H (за исключением X, J, Q, Z и гласных):

Таблица ниже обобщает основные колонки для буквы H:

Как упоминалось ранее, пара HN очень распространена в раскладках (например, индекс FHNPB). В то же время существуют и другие полезные применения буквы H, которые становятся возможными только после её разделения с N. Например, буква D не может находиться в одной колонке с N (биграмма ND), но может с H. Таким образом, в упомянутом индексе FHNPB можно заменить N на D, чтобы получить FHDPB. Другие примеры букв, которые лучше сочетаются с H, чем с N: K, Y, L, F или V.
Благодаря сочетанию того, что H является часто используемой буквой, и наличию множества минимальных SFB-пар, она идеально подходит для указательного пальца (аналогично T). Кроме того, раскладки, оптимизирующие in-rolls и имеющие H на руке согласных, размещают H на указательном пальце, чтобы биграммы TH, CH, WH, SH и GH были inward. На среднем пальце H часто идёт с N (например, HNB, HNM). H почти никогда не встречается на кольцевом пальце. H на мизинце в основном зарезервирован для раскладок с inward rotation, которые превращают все биграммы H + гласная (HE, HA, HI, HO) в in-rolls.
Наконец, в отличие от других основных согласных, H не создаёт SFB с апострофом.

Буква R
Ниже показаны все пары с R (за исключением X, J, Q, Z и гласных):

Таблица ниже обобщает основные колонки для буквы R:

R — это буква с наихудшими сочетаниями. Во-первых, у неё нет ни одной пары с минимальным SFB. Во-вторых, её пары с низким SFB тоже не идеальны, так как они создают значительные SFS. Пара WR вызывает skip-1-граммы в распространённых словах, таких как were, work или world. Аналогично, VR вызывает это же в словах вроде over, very, never или however. Следовательно, у R нет пар с низким движением, идеально подходящих для мизинца. Тем не менее, WR на мизинце требуется в раскладках с inward rotation, использующих домашний ряд RSTH.
В целом, наиболее распространённое место для R — на кольцевом пальце LR, так как это оптимально для минимизации SFB. На среднем пальце, кроме RN, можно использовать HRL. За исключением HRL, ни одна комбинация L + R + другая буква не оптимизирует движение особенно хорошо. Некоторые раскладки используют LRW на среднем пальце, LRM встречается ещё реже.
Как правило, на указательном пальце хочется иметь пять или шесть достаточно часто используемых согласных, не создавая при этом большого движения. С R это невозможно из-за малого количества хороших пар. Поэтому указательные пальцы с R обычно имеют только 3–4 часто используемые буквы (например, LRHK, RNB…), а остальные позиции заполняются редкими символами (например, X, J, Q, Z).

Буква L
Ниже показаны все пары с L (за исключением X, J, Q, Z и гласных):

Таблица ниже обобщает основные колонки для буквы L:

В современных раскладках наиболее распространённое место для буквы L — кольцевой палец LR. Поскольку L и R обе проблемные буквы, размещение их на одном пальце даёт большую свободу для проектирования остальной части раскладки. Кроме того, LR очень полезен для создания раскладок с низким SFB.
На среднем или указательном пальцах колонка LHM — это вариант с наименьшим движением. Единственный недостаток LHM в том, что она часто делает кольцевой палец более загруженным (например, RN или DTK на кольцевом). Если нужен более лёгкий кольцевой палец, приходится использовать более тяжёлую конфигурацию для среднего/указательного пальца (например, HNL, LNM и т. д.).
Наконец, практически нет раскладок, где L размещается на мизинце.

Буква D
Следующие пары включают букву D (за исключением X, J, Q, Z и гласных):

Таблица ниже обобщает основные колонки для буквы D:

Наиболее базовое место для D — вместе с T, на указательном или среднем пальце. Если D сочетается с H, она чаще всего оказывается на указательном пальце (колонка DHM на среднем встречается крайне редко). Наконец, в раскладках с двойным стеком D также может размещаться на C-указательном.
Поскольку D вызывает минимальное количество SFB с множеством разных согласных, технически возможно создавать колонки, где D не делит палец ни с T, ни с H, ни с C. Тем не менее, на практике практически нет раскладок, использующих такие колонки.
Наконец, появление D на мизинце крайне редкое.

Буква C
Следующие пары включают букву C (за исключением X, J, Q, Z и гласных):

Таблица ниже обобщает основные колонки для буквы C:

В раскладках с одним стеком C всегда сочетается с S (например, CSG на среднем, CSGVW на указательном…). В раскладках с двойным стеком C часто получает отдельную колонку (в стороне от S). Это может быть, например, мизинец WC или YC. Также можно воспользоваться тем, что C редко вызывает SFB с пунктуацией, и сделать колонку C + пунктуация на мизинце. Альтернативно, C может быть на указательном пальце, так как оно может делить палец с множеством разных букв, сохраняя минимальные SFB.
Примечание: один стек означает раскладки с либо стеком гласных (AO / EO), либо стеком согласных (HN / HR / NR). Двойной стек — это раскладки, в которых присутствуют оба.

19.6. Оставшиеся согласные
Буква Y
Следующие пары включают букву Y (за исключением X, J, Q, Z). Обратите внимание, что гласные пары также включены, так как Y — это полугласная:

Y обычно располагается на YI мизинце, C указательном или H указательном. Некоторые раскладки ставят Y с N или даже S, но это заметно увеличивает SFB. Несмотря на то, что пара YU не вызывает SFB, она практически никогда не используется, так как создаёт очень распространённый SFS Y_U в слове you.
Буква W
Следующие пары включают букву W (за исключением X, J, Q и Z). Гласные пары также включены, так как W — полугласная:

Единственный способ, чтобы W не вызывала SFB, — это разместить её на C указательном или C мизинце. Если раскладка не выделяет палец для буквы C (поскольку используется пара SC), то W может идти с R, S, N или T.
Буква M
Следующие пары включают букву M (за исключением X, J, Q, Z и гласных):

M обычно сочетается с T, N или H. Она также может быть на C указательном, но это реже.
Буква F
Следующие пары включают букву F (за исключением X, J, Q, Z и гласных):

F обычно сочетается с H или S. Она также может быть на C указательном или N указательном.
Буква P
Следующие пары включают букву P (за исключением X, J, Q, Z и гласных):

P вызывает наименьшее количество SFB с N или на C указательном. Также она может появляться с H или T.
Буква G
Следующие пары включают букву G (за исключением X, J, Q, Z и гласных):

G может сочетаться с T, S или на C указательном. Последние два варианта вызывают меньше SFS.
Буква B
Следующие пары включают букву B (за исключением X, J, Q, Z и гласных):

B может идти с H, N, T или на C указательном
Буква V
Следующие пары включают букву V (за исключением X, J, Q, Z и гласных):

V лучше всего сочетается с H, T, S или на C указательном.
Буква K
Следующие пары включают букву K (за исключением X, J, Q, Z и гласных):

K всегда сочетается либо с T, либо с H.